🇳🇴 🇬🇧 🇩🇪 🇨🇿 🇫🇮

Meteor Sandin yllä 2024-11-13 23:44:57 UTC

KML-tiedosto  |  Interaktiivinen kartta

Kartta näyttää meteorin suuntahavainnot. Vaaleammat viivat näyttävät suunnat havaintoasemilta meteorin ilmestyessä, ja tummemmat viivat näyttävät, missä se viimeksi nähtiin. Sininen nuoli näyttää meteorin näkyvän lennon.

static map
height profile
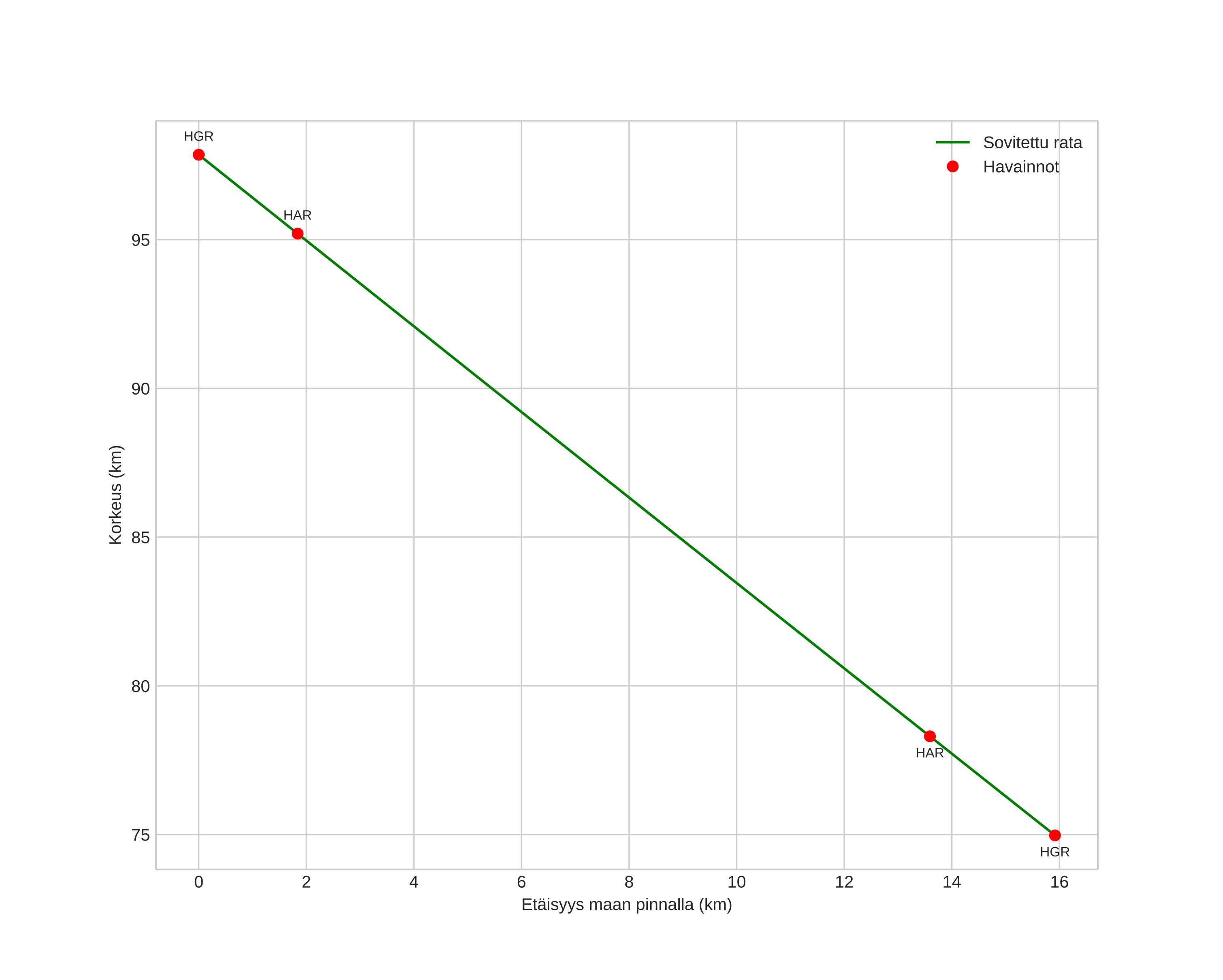
Meteorin ilmakehärata:
Alkukorkeus: 94,5 km
Loppukorkeus: 78,1 km
Alkupiste: 60,410N 11,430E
Loppupiste: 60,516N 11,425E
Suunta: 358,7°
Kallistuskulma: 54,4°
Tulonopeus: 29,5 km/s
Radiantin R,A,: 04:04 (61,1°)
Radiantin Dekl,: 23,3°
Meteoriparvi: Pohjoiset tauridit
Meteoroidin rataelementit:
Perihelietäisyys: 0,365 AU
Eksentrisyys: 0,811
Inklinaatio: 2,7°
Nousevan solmun pituus: 231,7°
Perihelin argumentti: 294,1°
Keskianomalia: 344,2°
Epookki: 2024 NOV 13 23:44:57
orbit plot

Ei-interaktiivinen kuvaaja | Interaktiivinen kuvaaja

position vs time
speed and acceleration