🇳🇴 🇬🇧 🇩🇪 🇨🇿 🇫🇮

Meteor, poloha: Innbygda 2024-11-14 01:33:35 UTC

Soubor KML  |  InteraktivnĂ­ mapa

Mapa zobrazuje dráhy meteoru. Světlejší čáry ukazují směry od pozorovacích stanic při objevení se meteoru a tmavší čáry, kde byl naposledy viděn. Modrá šipka značí viditelnou dráhu meteoru.

static map
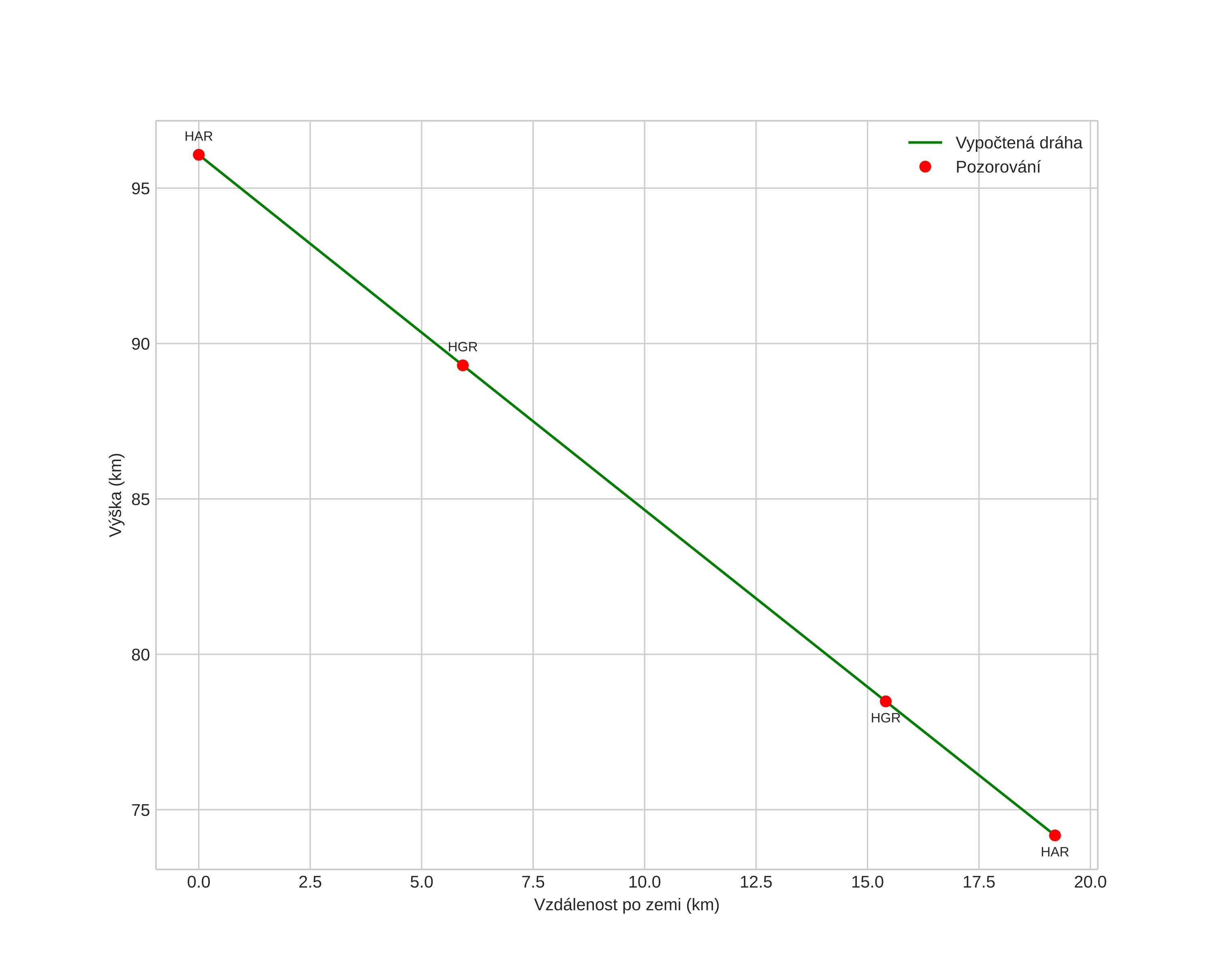
height profile
Atmosférická dráha meteoru:
Počáteční výška: 96,4 km
Konečná výška: 74,1 km
Počáteční poloha: 60,984N 12,100E
Konečná poloha: 61,109N 12,331E
Směr: 41,6°
Sklon: 50,0°
VstupnĂ­ rychlost: 28,8 km/s
Rektascenze radiantu: 03:57 (59,4°)
Deklinace radiantu: 24,1°
MeteorickĂ˝ roj: SevernĂ­ Tauridy
Elementy dráhy meteoroidu:
Vzdálenost v periheliu: 0,393 AU
Excentricita: 0,803
Sklon dráhy: 3,8°
Délka vzestupného uzlu: 231,8°
Argument perihelia: 290,8°
Střední anomálie: 344,7°
Epocha: 2024 NOV 14 01:33:35
orbit plot

NeinteraktivnĂ­ graf | InteraktivnĂ­ graf

position vs time
speed and acceleration