🇳🇴 🇬🇧 🇩🇪 🇨🇿 🇫🇮

Meteor Innbygdan yllä 2024-11-14 01:33:35 UTC

KML-tiedosto  |  Interaktiivinen kartta

Kartta näyttää meteorin suuntahavainnot. Vaaleammat viivat näyttävät suunnat havaintoasemilta meteorin ilmestyessä, ja tummemmat viivat näyttävät, missä se viimeksi nähtiin. Sininen nuoli näyttää meteorin näkyvän lennon.

static map
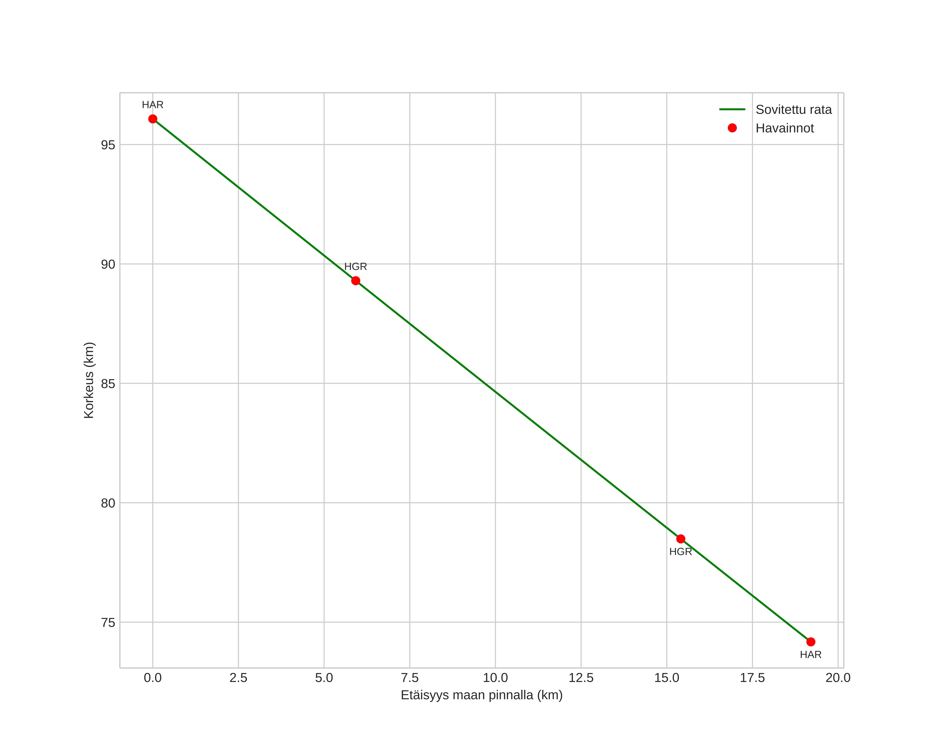
height profile
Meteorin ilmakehärata:
Alkukorkeus: 96,4 km
Loppukorkeus: 74,1 km
Alkupiste: 60,984N 12,100E
Loppupiste: 61,109N 12,331E
Suunta: 41,6°
Kallistuskulma: 50,0°
Tulonopeus: 28,8 km/s
Radiantin R,A,: 03:57 (59,4°)
Radiantin Dekl,: 24,1°
Meteoriparvi: Pohjoiset tauridit
Meteoroidin rataelementit:
Perihelietäisyys: 0,393 AU
Eksentrisyys: 0,803
Inklinaatio: 3,8°
Nousevan solmun pituus: 231,8°
Perihelin argumentti: 290,8°
Keskianomalia: 344,7°
Epookki: 2024 NOV 14 01:33:35
orbit plot

Ei-interaktiivinen kuvaaja | Interaktiivinen kuvaaja

position vs time
speed and acceleration