🇳🇴 🇬🇧 🇩🇪 🇨🇿 🇫🇮

Meteor, poloha: Malung 2024-11-14 02:05:49 UTC

Soubor KML  |  InteraktivnĂ­ mapa

Mapa zobrazuje dráhy meteoru. Světlejší čáry ukazují směry od pozorovacích stanic při objevení se meteoru a tmavší čáry, kde byl naposledy viděn. Modrá šipka značí viditelnou dráhu meteoru.

static map
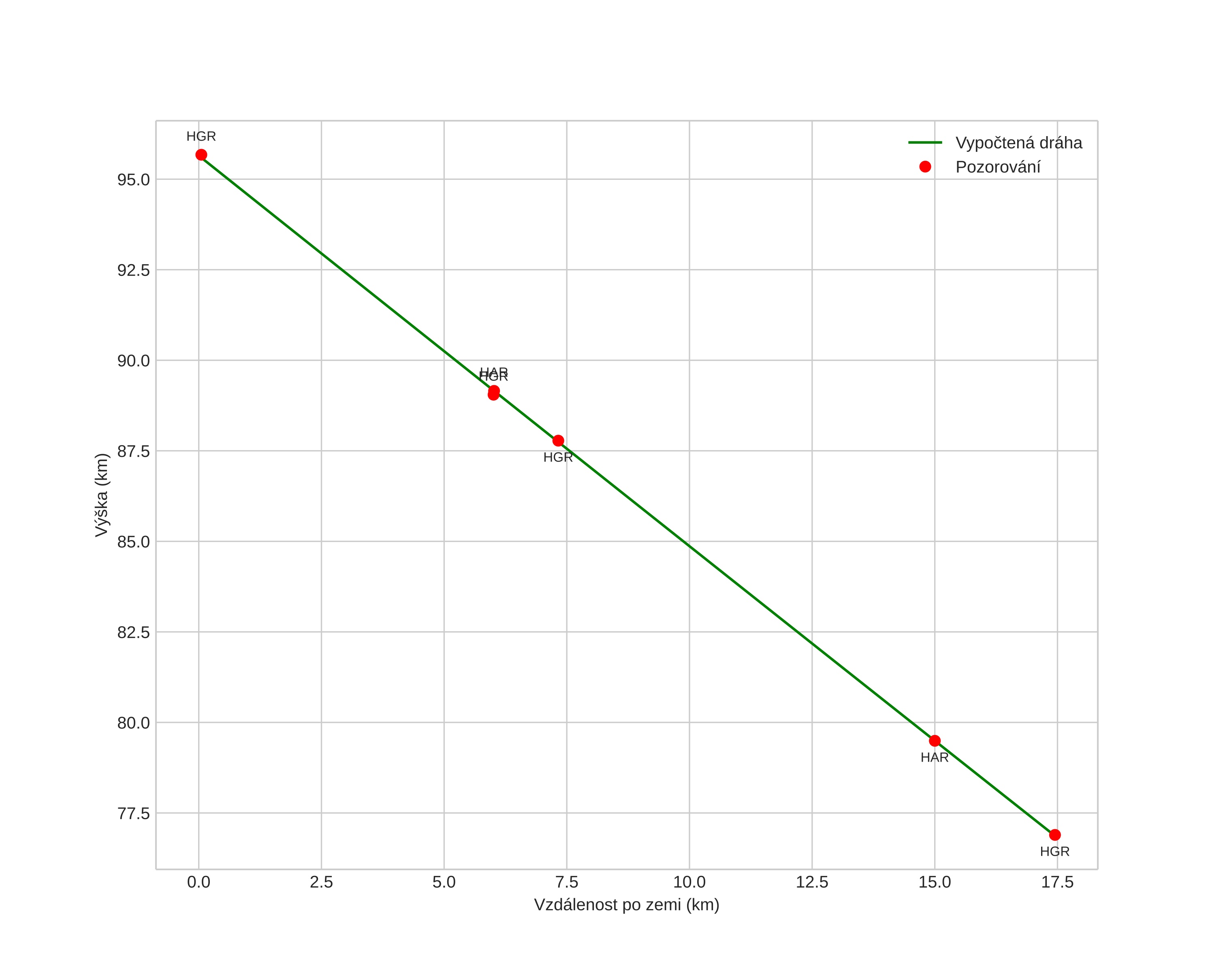
height profile
Atmosférická dráha meteoru:
Počáteční výška: 94,8 km
Konečná výška: 77,7 km
Počáteční poloha: 60,448N 13,556E
Konečná poloha: 60,554N 13,905E
Směr: 58,4°
Sklon: 37,3°
VstupnĂ­ rychlost: 32,3 km/s
Rektascenze radiantu: 03:26 (51,6°)
Deklinace radiantu: 17,0°
MeteorickĂ˝ roj: sporadickĂ˝
Elementy dráhy meteoroidu:
Vzdálenost v periheliu: 0,470 AU
Excentricita: 1,007
Sklon dráhy: 1,8°
Délka vzestupného uzlu: 51,9°
Argument perihelia: 92,6°
Střední anomálie: -0,1°
Epocha: 2024 NOV 14 02:05:49
orbit plot

NeinteraktivnĂ­ graf | InteraktivnĂ­ graf

position vs time
speed and acceleration