🇳🇴 🇬🇧 🇩🇪 🇨🇿 🇫🇮

Meteor Malungin yllä 2024-11-14 02:05:49 UTC

KML-tiedosto  |  Interaktiivinen kartta

Kartta näyttää meteorin suuntahavainnot. Vaaleammat viivat näyttävät suunnat havaintoasemilta meteorin ilmestyessä, ja tummemmat viivat näyttävät, missä se viimeksi nähtiin. Sininen nuoli näyttää meteorin näkyvän lennon.

static map
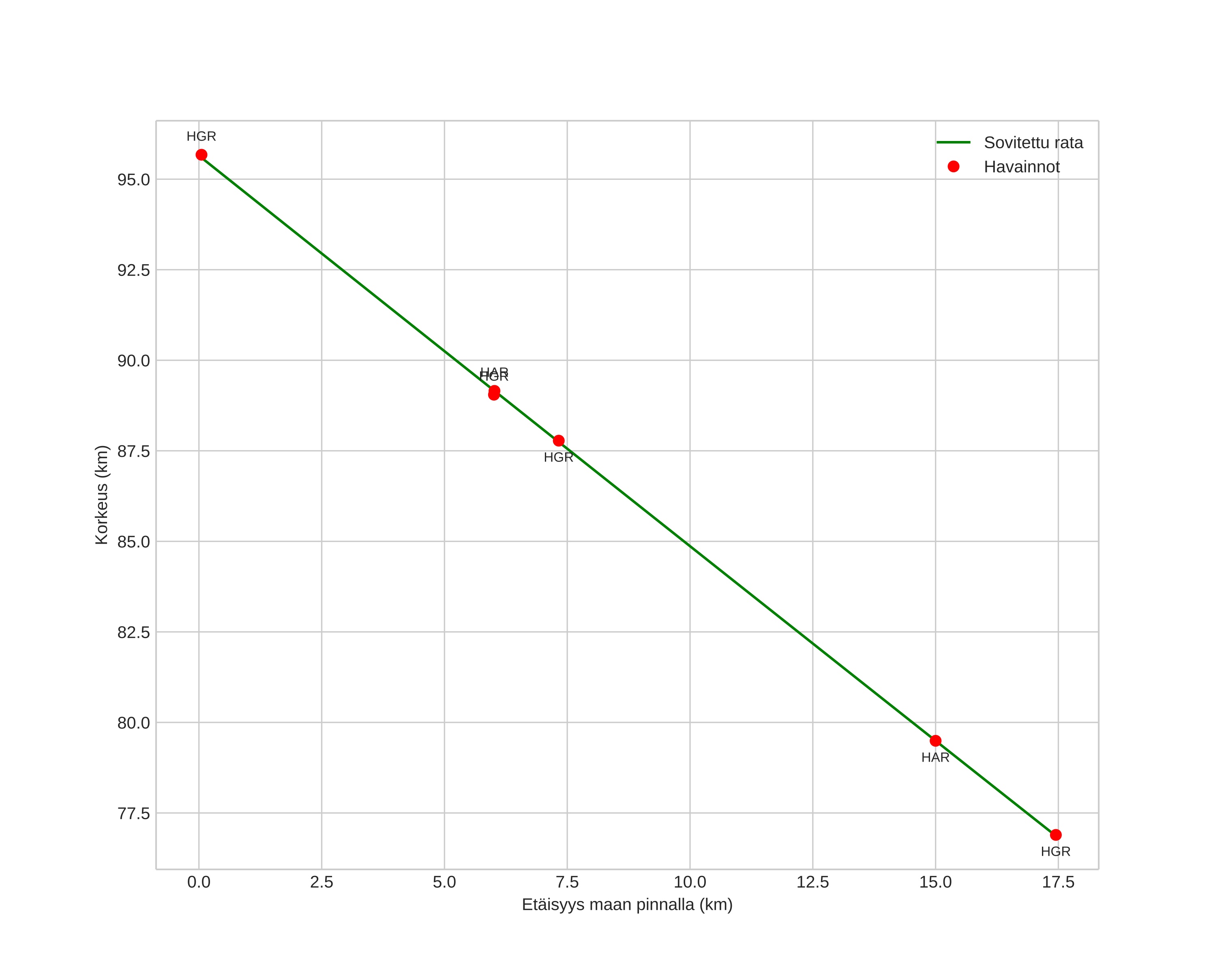
height profile
Meteorin ilmakehärata:
Alkukorkeus: 94,8 km
Loppukorkeus: 77,7 km
Alkupiste: 60,448N 13,556E
Loppupiste: 60,554N 13,905E
Suunta: 58,4°
Kallistuskulma: 37,3°
Tulonopeus: 32,3 km/s
Radiantin R,A,: 03:26 (51,6°)
Radiantin Dekl,: 17,0°
Meteoriparvi: Sporadinen
Meteoroidin rataelementit:
Perihelietäisyys: 0,470 AU
Eksentrisyys: 1,007
Inklinaatio: 1,8°
Nousevan solmun pituus: 51,9°
Perihelin argumentti: 92,6°
Keskianomalia: -0,1°
Epookki: 2024 NOV 14 02:05:49
orbit plot

Ei-interaktiivinen kuvaaja | Interaktiivinen kuvaaja

position vs time
speed and acceleration