🇳🇴 🇬🇧 🇩🇪 🇨🇿 🇫🇮

Meteor, poloha: RĂĄholt 2024-11-14 04:11:51 UTC

Soubor KML  |  InteraktivnĂ­ mapa

Mapa zobrazuje dráhy meteoru. Světlejší čáry ukazují směry od pozorovacích stanic při objevení se meteoru a tmavší čáry, kde byl naposledy viděn. Modrá šipka značí viditelnou dráhu meteoru.

static map
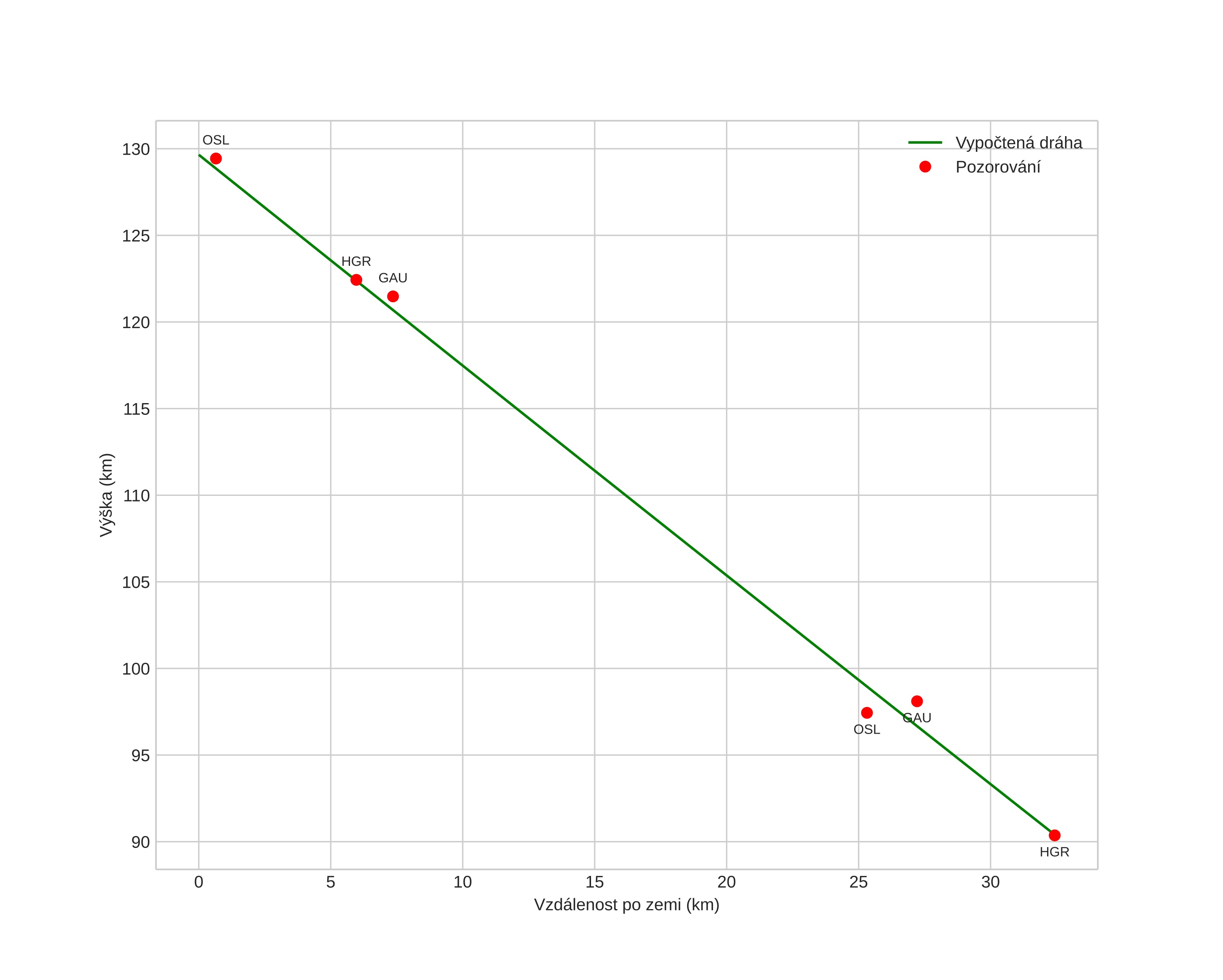
height profile
Atmosférická dráha meteoru:
Počáteční výška: 123,5 km
Konečná výška: 100,5 km
Počáteční poloha: 60,100N 11,338E
Konečná poloha: 60,254N 11,150E
Směr: 329,0°
Sklon: 49,0°
VstupnĂ­ rychlost: 73,0 km/s
Rektascenze radiantu: 09:55 (148,9°)
Deklinace radiantu: 21,8°
MeteorickĂ˝ roj: Leonidy
Elementy dráhy meteoroidu:
Vzdálenost v periheliu: 0,988 AU
Excentricita: 1,020
Sklon dráhy: 165,4°
Délka vzestupného uzlu: 232,0°
Argument perihelia: 175,8°
Střední anomálie: 0,0°
Epocha: 2024 NOV 14 04:11:51
orbit plot

NeinteraktivnĂ­ graf | InteraktivnĂ­ graf

position vs time
speed and acceleration