🇳🇴 🇬🇧 🇩🇪 🇨🇿 🇫🇮

Meteor Råholtin yllä 2024-11-14 04:11:51 UTC

KML-tiedosto  |  Interaktiivinen kartta

Kartta näyttää meteorin suuntahavainnot. Vaaleammat viivat näyttävät suunnat havaintoasemilta meteorin ilmestyessä, ja tummemmat viivat näyttävät, missä se viimeksi nähtiin. Sininen nuoli näyttää meteorin näkyvän lennon.

static map
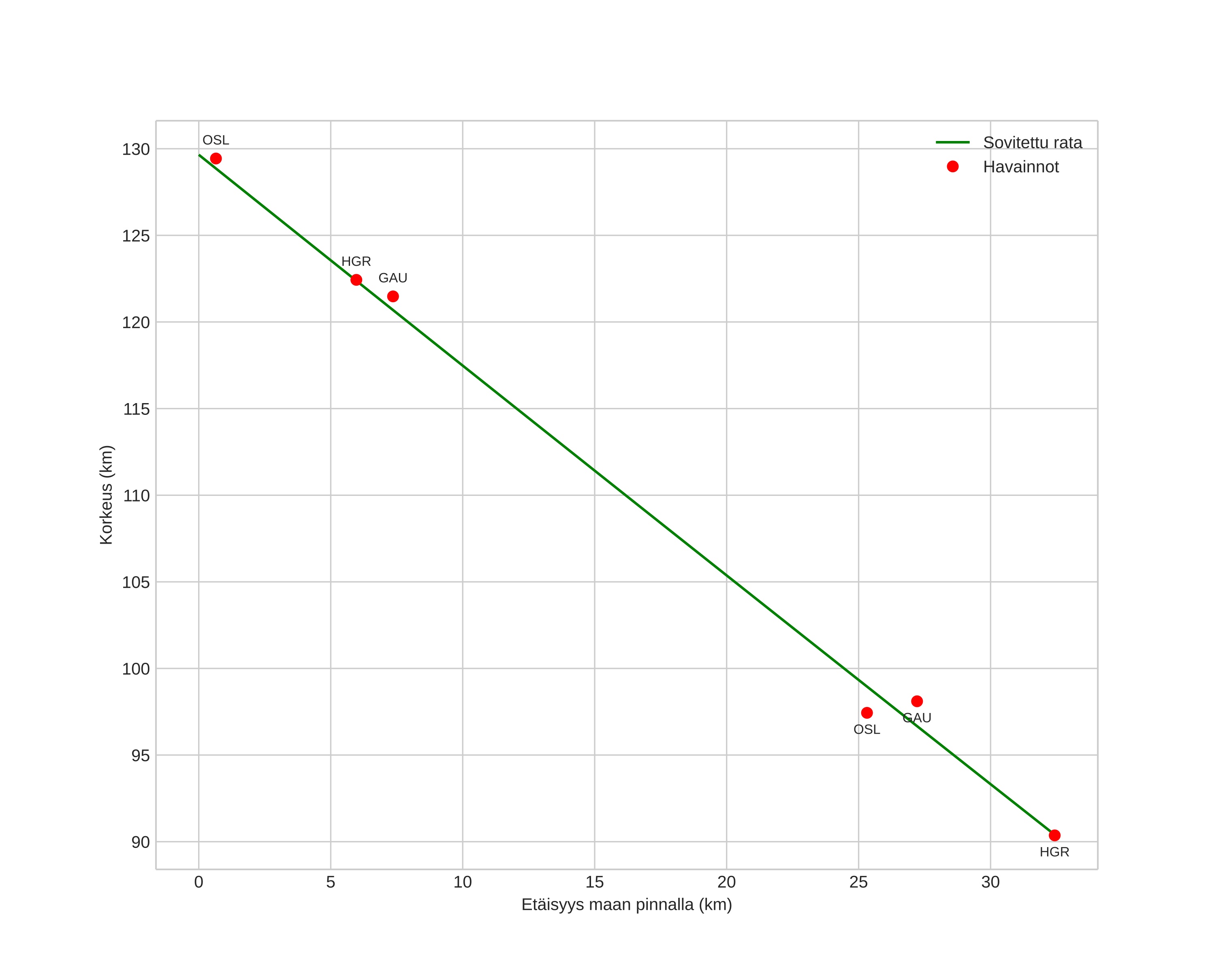
height profile
Meteorin ilmakehärata:
Alkukorkeus: 123,5 km
Loppukorkeus: 100,5 km
Alkupiste: 60,100N 11,338E
Loppupiste: 60,254N 11,150E
Suunta: 329,0°
Kallistuskulma: 49,0°
Tulonopeus: 73,0 km/s
Radiantin R,A,: 09:55 (148,9°)
Radiantin Dekl,: 21,8°
Meteoriparvi: Leonidit
Meteoroidin rataelementit:
Perihelietäisyys: 0,988 AU
Eksentrisyys: 1,020
Inklinaatio: 165,4°
Nousevan solmun pituus: 232,0°
Perihelin argumentti: 175,8°
Keskianomalia: 0,0°
Epookki: 2024 NOV 14 04:11:51
orbit plot

Ei-interaktiivinen kuvaaja | Interaktiivinen kuvaaja

position vs time
speed and acceleration