🇳🇴 🇬🇧 🇩🇪 🇨🇿 🇫🇮

Meteor, poloha: Innbygda 2024-11-14 04:35:05 UTC

Soubor KML  |  InteraktivnĂ­ mapa

Mapa zobrazuje dráhy meteoru. Světlejší čáry ukazují směry od pozorovacích stanic při objevení se meteoru a tmavší čáry, kde byl naposledy viděn. Modrá šipka značí viditelnou dráhu meteoru.

static map
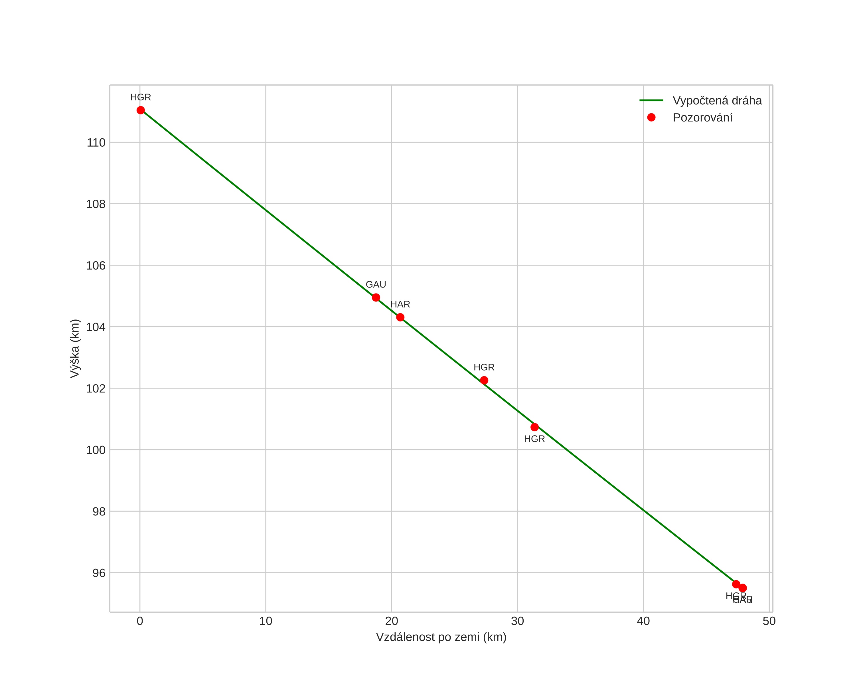
height profile
Atmosférická dráha meteoru:
Počáteční výška: 110,8 km
Konečná výška: 94,9 km
Počáteční poloha: 60,513N 12,051E
Konečná poloha: 60,904N 12,392E
Směr: 22,9°
Sklon: 18,6°
VstupnĂ­ rychlost: 63,1 km/s
Rektascenze radiantu: 07:27 (112,0°)
Deklinace radiantu: -9,3°
MeteorickĂ˝ roj: sporadickĂ˝
Elementy dráhy meteoroidu:
Vzdálenost v periheliu: 0,700 AU
Excentricita: 1,099
Sklon dráhy: 119,0°
Délka vzestupného uzlu: 52,0°
Argument perihelia: 63,8°
Střední anomálie: -1,8°
Epocha: 2024 NOV 14 04:35:05
orbit plot

NeinteraktivnĂ­ graf | InteraktivnĂ­ graf

position vs time
speed and acceleration