🇳🇴 🇬🇧 🇩🇪 🇨🇿 🇫🇮

Meteor Innbygdan yllä 2024-11-14 04:35:05 UTC

KML-tiedosto  |  Interaktiivinen kartta

Kartta näyttää meteorin suuntahavainnot. Vaaleammat viivat näyttävät suunnat havaintoasemilta meteorin ilmestyessä, ja tummemmat viivat näyttävät, missä se viimeksi nähtiin. Sininen nuoli näyttää meteorin näkyvän lennon.

static map
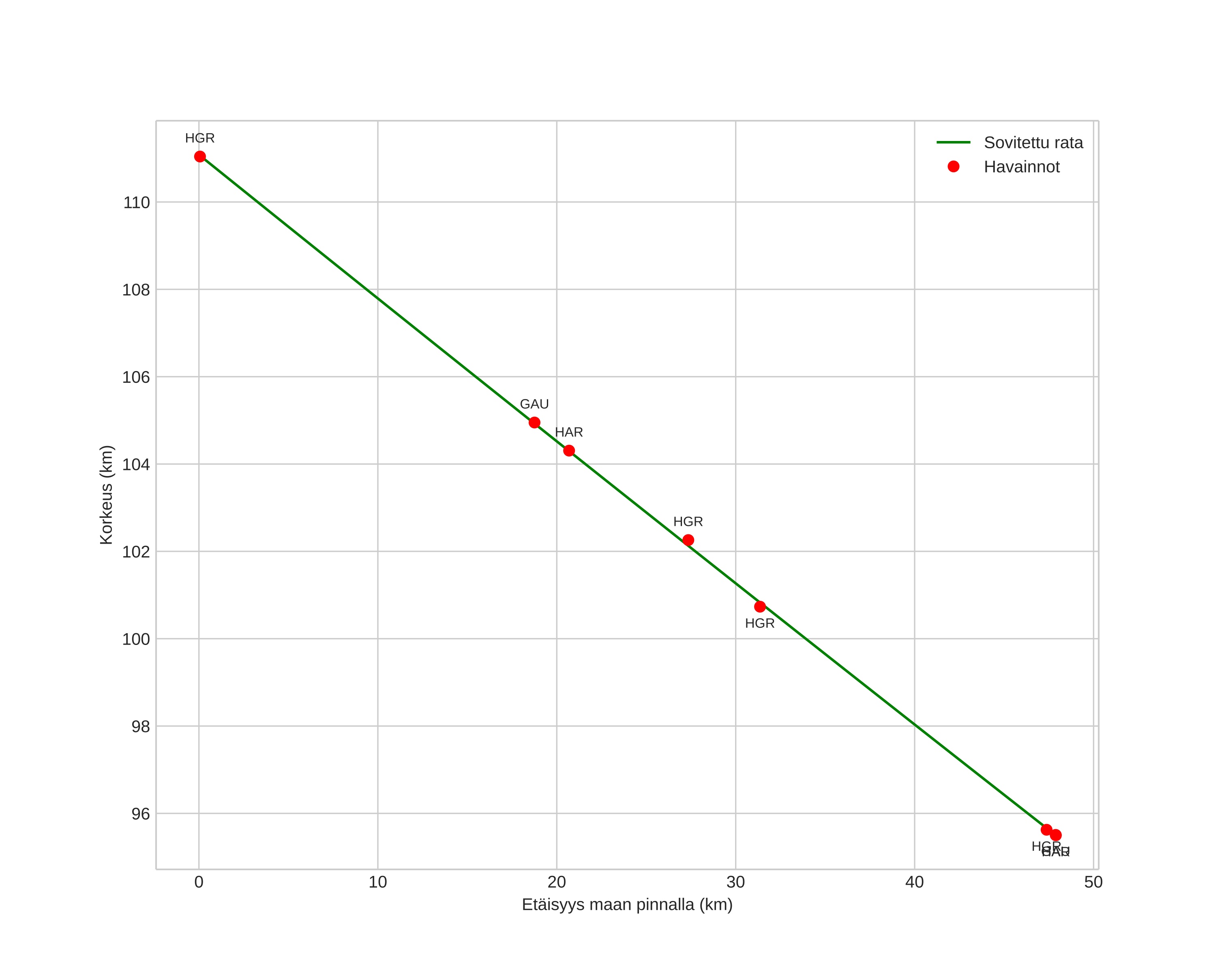
height profile
Meteorin ilmakehärata:
Alkukorkeus: 110,8 km
Loppukorkeus: 94,9 km
Alkupiste: 60,513N 12,051E
Loppupiste: 60,904N 12,392E
Suunta: 22,9°
Kallistuskulma: 18,6°
Tulonopeus: 63,1 km/s
Radiantin R,A,: 07:27 (112,0°)
Radiantin Dekl,: -9,3°
Meteoriparvi: Sporadinen
Meteoroidin rataelementit:
Perihelietäisyys: 0,700 AU
Eksentrisyys: 1,099
Inklinaatio: 119,0°
Nousevan solmun pituus: 52,0°
Perihelin argumentti: 63,8°
Keskianomalia: -1,8°
Epookki: 2024 NOV 14 04:35:05
orbit plot

Ei-interaktiivinen kuvaaja | Interaktiivinen kuvaaja

position vs time
speed and acceleration