🇳🇴 🇬🇧 🇩🇪 🇨🇿 🇫🇮

Meteor, poloha: Torsby 2024-11-15 01:20:14 UTC

Soubor KML  |  InteraktivnĂ­ mapa

Mapa zobrazuje dráhy meteoru. Světlejší čáry ukazují směry od pozorovacích stanic při objevení se meteoru a tmavší čáry, kde byl naposledy viděn. Modrá šipka značí viditelnou dráhu meteoru.

static map
height profile
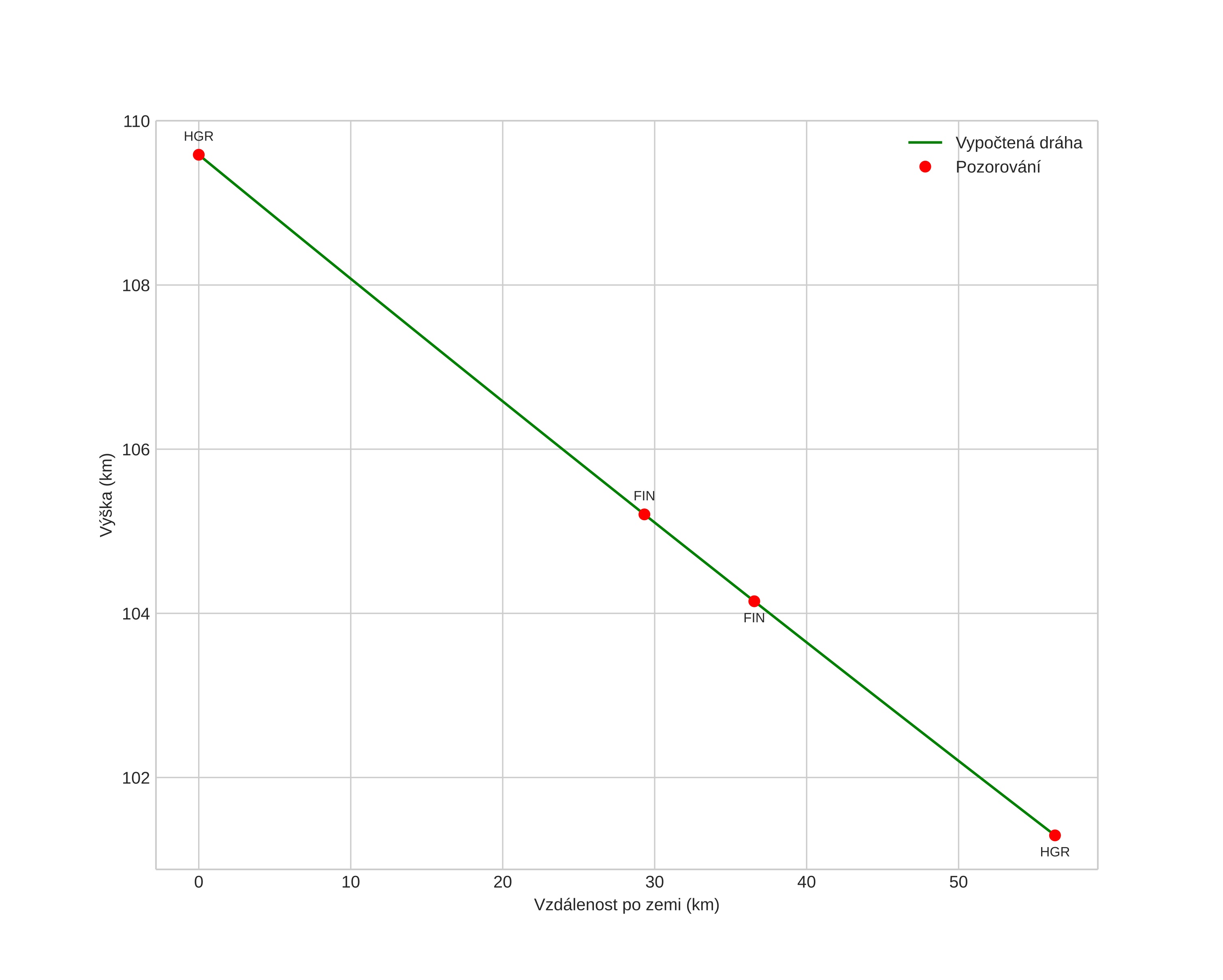
Atmosférická dráha meteoru:
Počáteční výška: 109,8 km
Konečná výška: 101,4 km
Počáteční poloha: 59,663N 13,527E
Konečná poloha: 60,039N 12,846E
Směr: 318,0°
Sklon: 8,5°
VstupnĂ­ rychlost: 73,0 km/s
Rektascenze radiantu: 08:43 (130,9°)
Deklinace radiantu: -14,6°
MeteorickĂ˝ roj: sporadickĂ˝
Elementy dráhy meteoroidu:
Vzdálenost v periheliu: 0,979 AU
Excentricita: 1,682
Sklon dráhy: 129,5°
Délka vzestupného uzlu: 52,8°
Argument perihelia: 10,3°
Střední anomálie: -3,6°
Epocha: 2024 NOV 15 01:20:14
orbit plot

NeinteraktivnĂ­ graf | InteraktivnĂ­ graf

position vs time
speed and acceleration