🇳🇴 🇬🇧 🇩🇪 🇨🇿 🇫🇮

Meteor Torsbyn yllä 2024-11-15 01:20:14 UTC

KML-tiedosto  |  Interaktiivinen kartta

Kartta näyttää meteorin suuntahavainnot. Vaaleammat viivat näyttävät suunnat havaintoasemilta meteorin ilmestyessä, ja tummemmat viivat näyttävät, missä se viimeksi nähtiin. Sininen nuoli näyttää meteorin näkyvän lennon.

static map
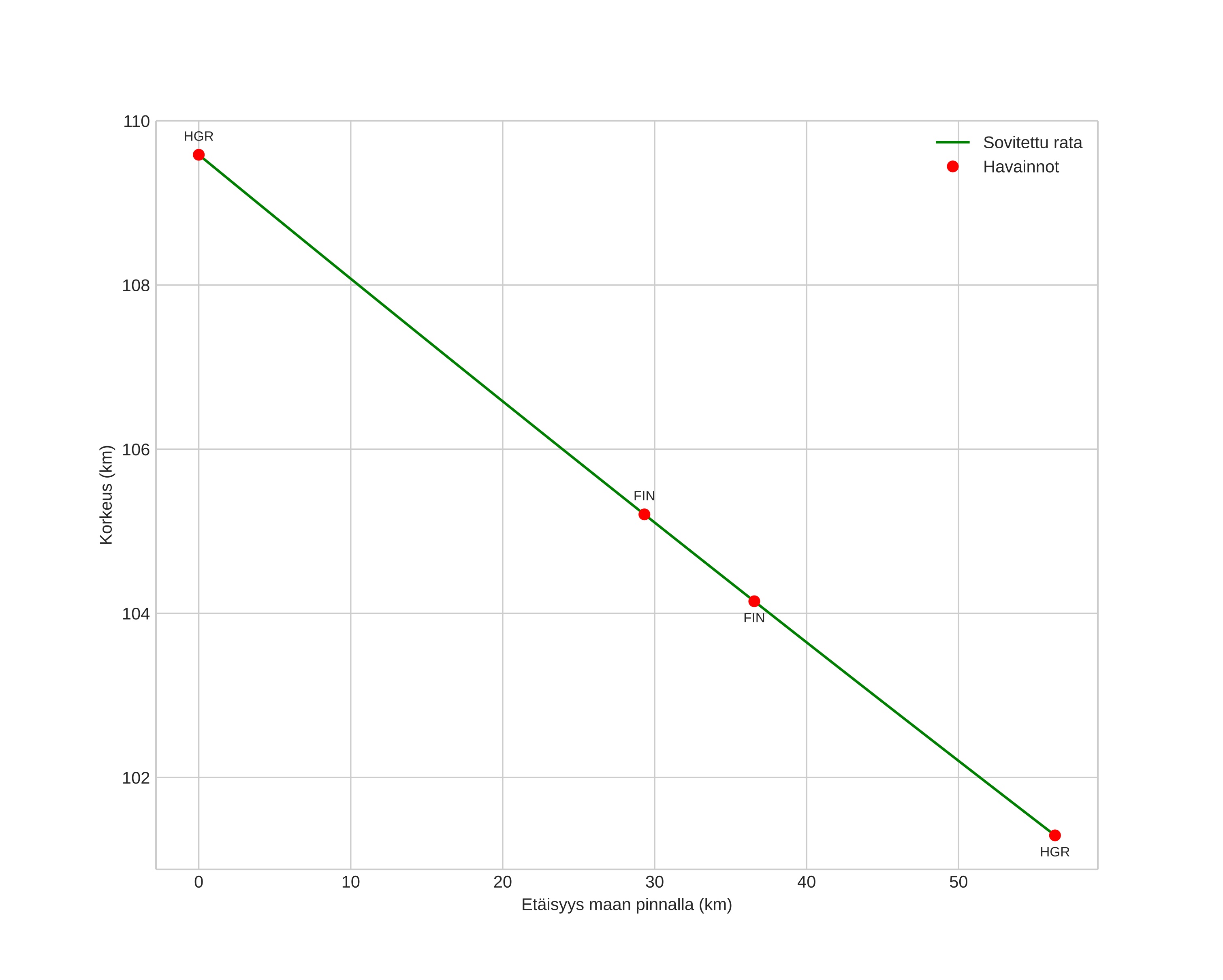
height profile
Meteorin ilmakehärata:
Alkukorkeus: 109,8 km
Loppukorkeus: 101,4 km
Alkupiste: 59,663N 13,527E
Loppupiste: 60,039N 12,846E
Suunta: 318,0°
Kallistuskulma: 8,5°
Tulonopeus: 73,0 km/s
Radiantin R,A,: 08:43 (130,9°)
Radiantin Dekl,: -14,6°
Meteoriparvi: Sporadinen
Meteoroidin rataelementit:
Perihelietäisyys: 0,979 AU
Eksentrisyys: 1,682
Inklinaatio: 129,5°
Nousevan solmun pituus: 52,8°
Perihelin argumentti: 10,3°
Keskianomalia: -3,6°
Epookki: 2024 NOV 15 01:20:14
orbit plot

Ei-interaktiivinen kuvaaja | Interaktiivinen kuvaaja

position vs time
speed and acceleration