🇳🇴 🇬🇧 🇩🇪 🇨🇿 🇫🇮

Meteor, poloha: Delsbo 2024-11-15 01:40:16 UTC

Soubor KML  |  InteraktivnĂ­ mapa

Mapa zobrazuje dráhy meteoru. Světlejší čáry ukazují směry od pozorovacích stanic při objevení se meteoru a tmavší čáry, kde byl naposledy viděn. Modrá šipka značí viditelnou dráhu meteoru.

static map
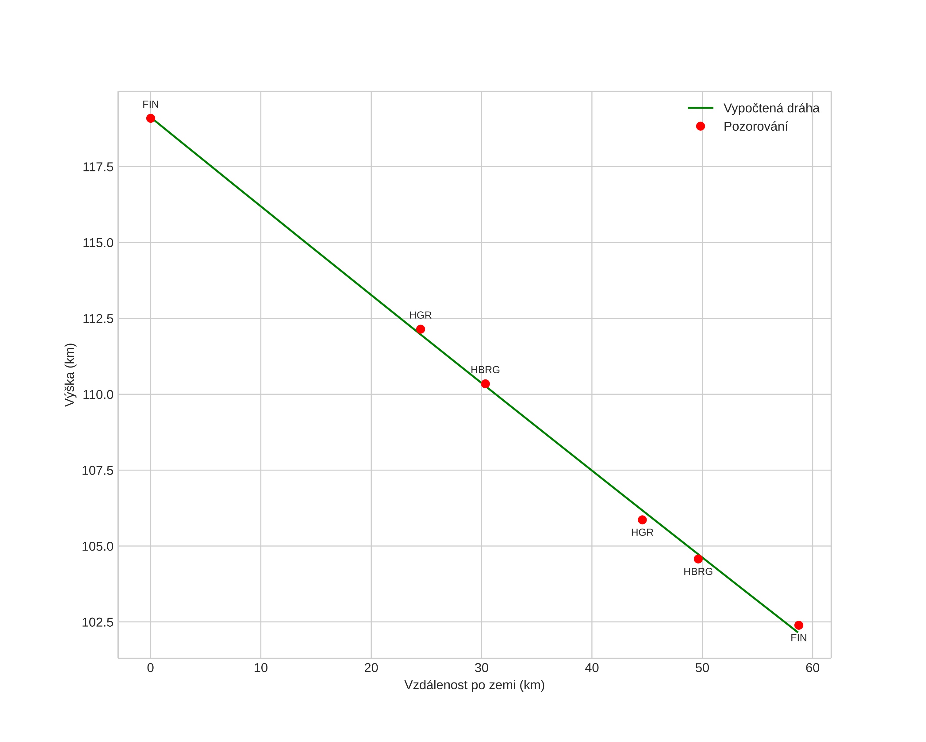
height profile
Atmosférická dráha meteoru:
Počáteční výška: 118,7 km
Konečná výška: 102,3 km
Počáteční poloha: 61,154N 17,231E
Konečná poloha: 61,589N 16,627E
Směr: 326,6°
Sklon: 15,8°
VstupnĂ­ rychlost: 70,5 km/s
Rektascenze radiantu: 08:35 (128,9°)
Deklinace radiantu: -9,1°
MeteorickĂ˝ roj: sporadickĂ˝
Elementy dráhy meteoroidu:
Vzdálenost v periheliu: 0,947 AU
Excentricita: 1,275
Sklon dráhy: 134,9°
Délka vzestupného uzlu: 52,8°
Argument perihelia: 22,6°
Střední anomálie: -2,2°
Epocha: 2024 NOV 15 01:40:16
orbit plot

NeinteraktivnĂ­ graf | InteraktivnĂ­ graf

position vs time
speed and acceleration