🇳🇴 🇬🇧 🇩🇪 🇨🇿 🇫🇮

Meteor Delsbon yllä 2024-11-15 01:40:16 UTC

KML-tiedosto  |  Interaktiivinen kartta

Kartta näyttää meteorin suuntahavainnot. Vaaleammat viivat näyttävät suunnat havaintoasemilta meteorin ilmestyessä, ja tummemmat viivat näyttävät, missä se viimeksi nähtiin. Sininen nuoli näyttää meteorin näkyvän lennon.

static map
height profile
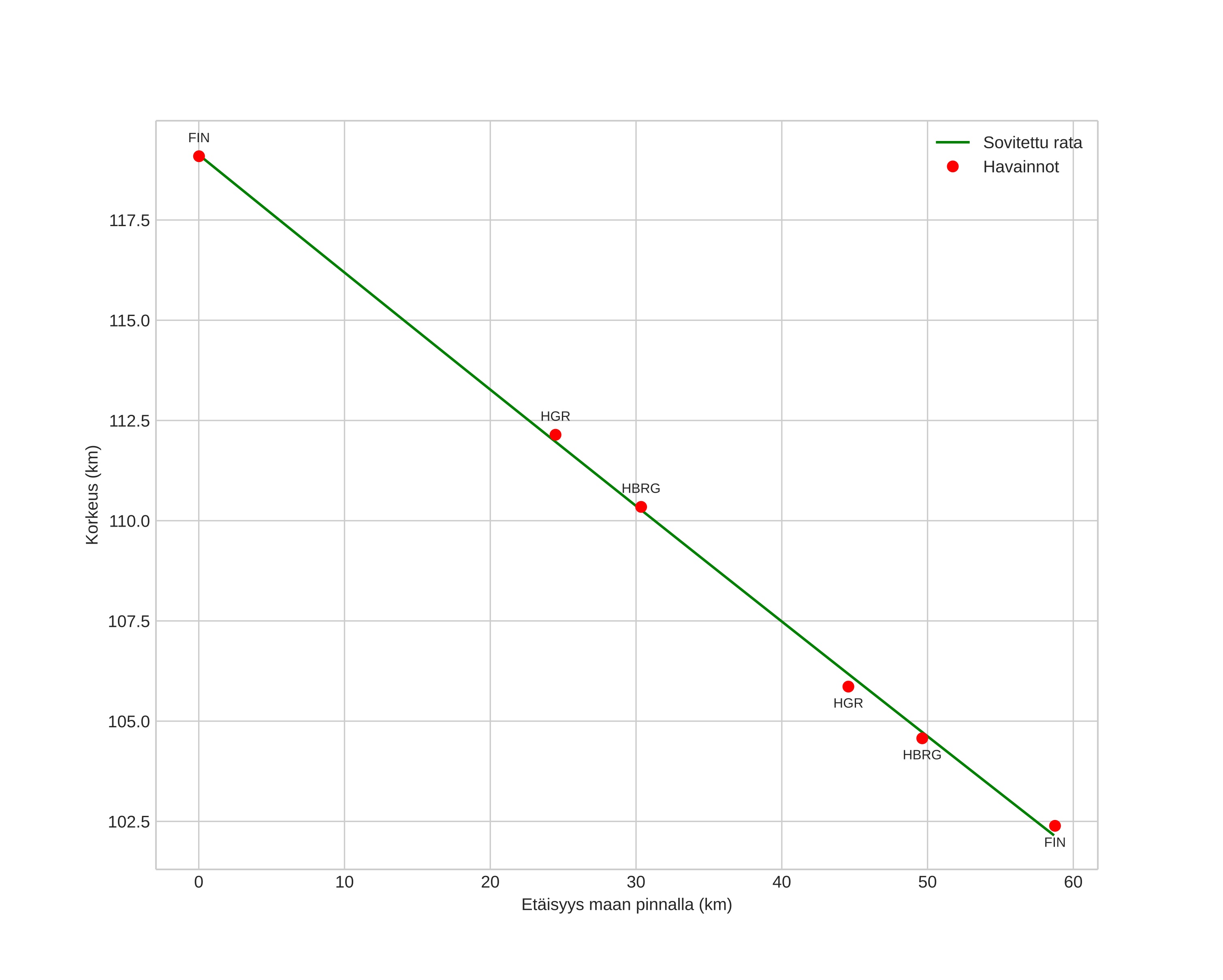
Meteorin ilmakehärata:
Alkukorkeus: 118,7 km
Loppukorkeus: 102,3 km
Alkupiste: 61,154N 17,231E
Loppupiste: 61,589N 16,627E
Suunta: 326,6°
Kallistuskulma: 15,8°
Tulonopeus: 70,5 km/s
Radiantin R,A,: 08:35 (128,9°)
Radiantin Dekl,: -9,1°
Meteoriparvi: Sporadinen
Meteoroidin rataelementit:
Perihelietäisyys: 0,947 AU
Eksentrisyys: 1,275
Inklinaatio: 134,9°
Nousevan solmun pituus: 52,8°
Perihelin argumentti: 22,6°
Keskianomalia: -2,2°
Epookki: 2024 NOV 15 01:40:16
orbit plot

Ei-interaktiivinen kuvaaja | Interaktiivinen kuvaaja

position vs time
speed and acceleration