🇳🇴 🇬🇧 🇩🇪 🇨🇿 🇫🇮

Meteor, poloha: Geta 2024-11-15 03:58:17 UTC

Soubor KML  |  InteraktivnĂ­ mapa

Mapa zobrazuje dráhy meteoru. Světlejší čáry ukazují směry od pozorovacích stanic při objevení se meteoru a tmavší čáry, kde byl naposledy viděn. Modrá šipka značí viditelnou dráhu meteoru.

static map
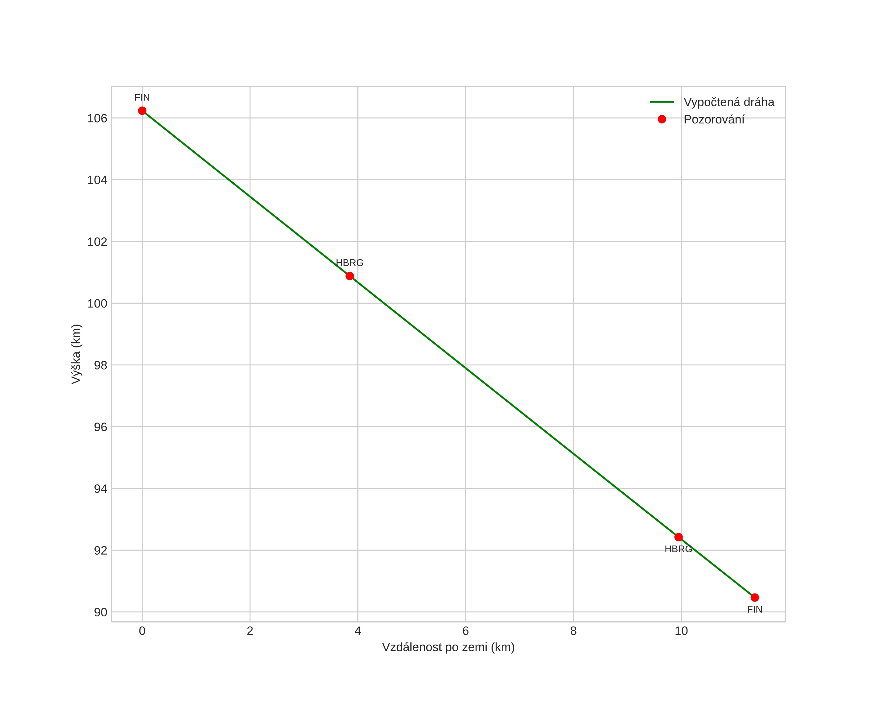
height profile
Atmosférická dráha meteoru:
Počáteční výška: 106,2 km
Konečná výška: 91,6 km
Počáteční poloha: 60,534N 19,742E
Konečná poloha: 60,629N 19,769E
Směr: 8,0°
Sklon: 54,0°
VstupnĂ­ rychlost: 63,6 km/s
Rektascenze radiantu: 08:32 (128,2°)
Deklinace radiantu: 24,4°
MeteorickĂ˝ roj: sporadickĂ˝
Elementy dráhy meteoroidu:
Vzdálenost v periheliu: 0,582 AU
Excentricita: 0,667
Sklon dráhy: 168,5°
Délka vzestupného uzlu: 233,0°
Argument perihelia: 271,7°
Střední anomálie: 339,6°
Epocha: 2024 NOV 15 03:58:17
orbit plot

NeinteraktivnĂ­ graf | InteraktivnĂ­ graf

position vs time
speed and acceleration