🇳🇴 🇬🇧 🇩🇪 🇨🇿 🇫🇮

Meteor Getan yllä 2024-11-15 03:58:17 UTC

KML-tiedosto  |  Interaktiivinen kartta

Kartta näyttää meteorin suuntahavainnot. Vaaleammat viivat näyttävät suunnat havaintoasemilta meteorin ilmestyessä, ja tummemmat viivat näyttävät, missä se viimeksi nähtiin. Sininen nuoli näyttää meteorin näkyvän lennon.

static map
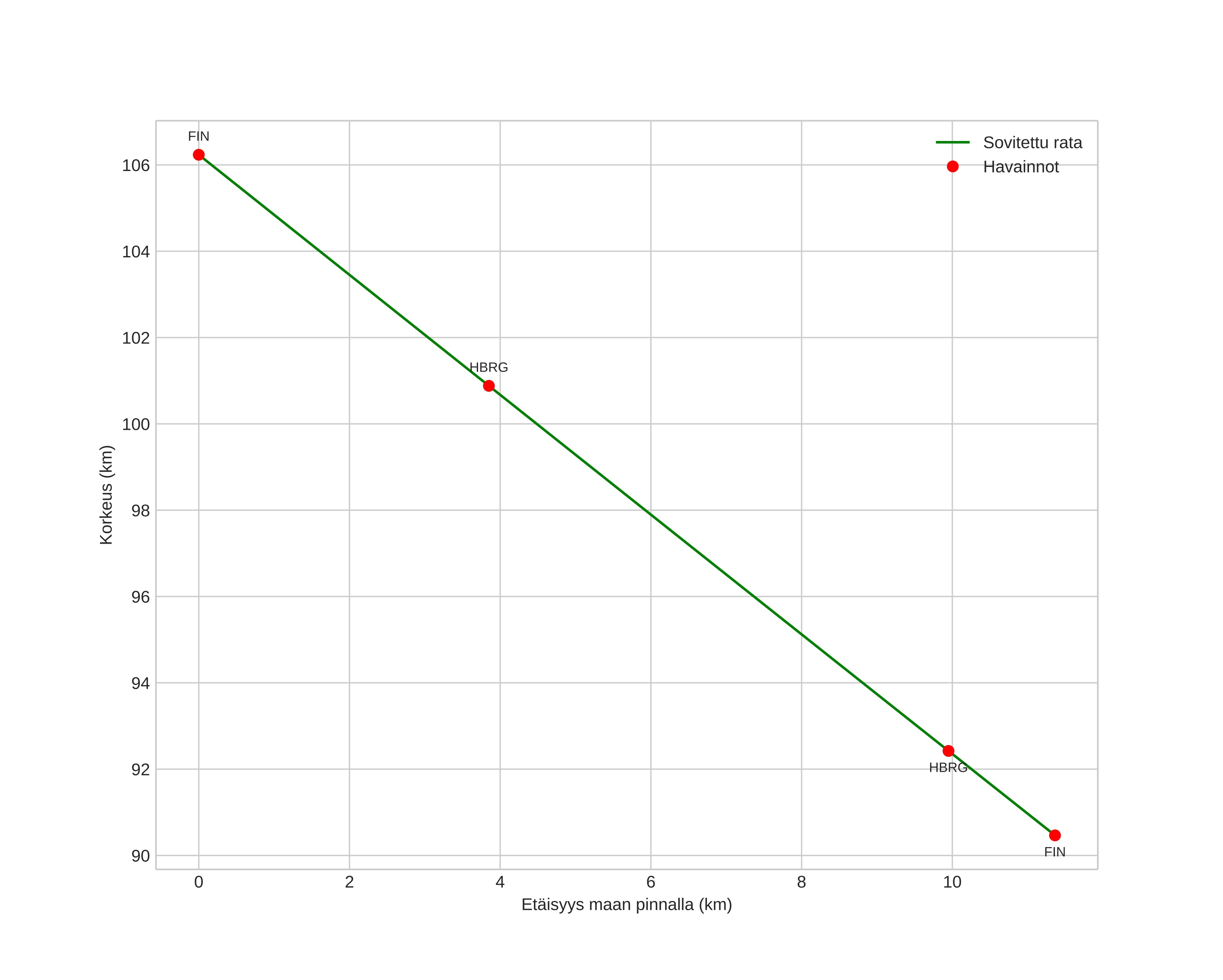
height profile
Meteorin ilmakehärata:
Alkukorkeus: 106,2 km
Loppukorkeus: 91,6 km
Alkupiste: 60,534N 19,742E
Loppupiste: 60,629N 19,769E
Suunta: 8,0°
Kallistuskulma: 54,0°
Tulonopeus: 63,6 km/s
Radiantin R,A,: 08:32 (128,2°)
Radiantin Dekl,: 24,4°
Meteoriparvi: Sporadinen
Meteoroidin rataelementit:
Perihelietäisyys: 0,582 AU
Eksentrisyys: 0,667
Inklinaatio: 168,5°
Nousevan solmun pituus: 233,0°
Perihelin argumentti: 271,7°
Keskianomalia: 339,6°
Epookki: 2024 NOV 15 03:58:17
orbit plot

Ei-interaktiivinen kuvaaja | Interaktiivinen kuvaaja

position vs time
speed and acceleration