🇳🇴 🇬🇧 🇩🇪 🇨🇿 🇫🇮

Meteor, poloha: Bjørkelangen 2024-11-16 03:33:38 UTC

Soubor KML  |  InteraktivnĂ­ mapa

Mapa zobrazuje dráhy meteoru. Světlejší čáry ukazují směry od pozorovacích stanic při objevení se meteoru a tmavší čáry, kde byl naposledy viděn. Modrá šipka značí viditelnou dráhu meteoru.

static map
height profile
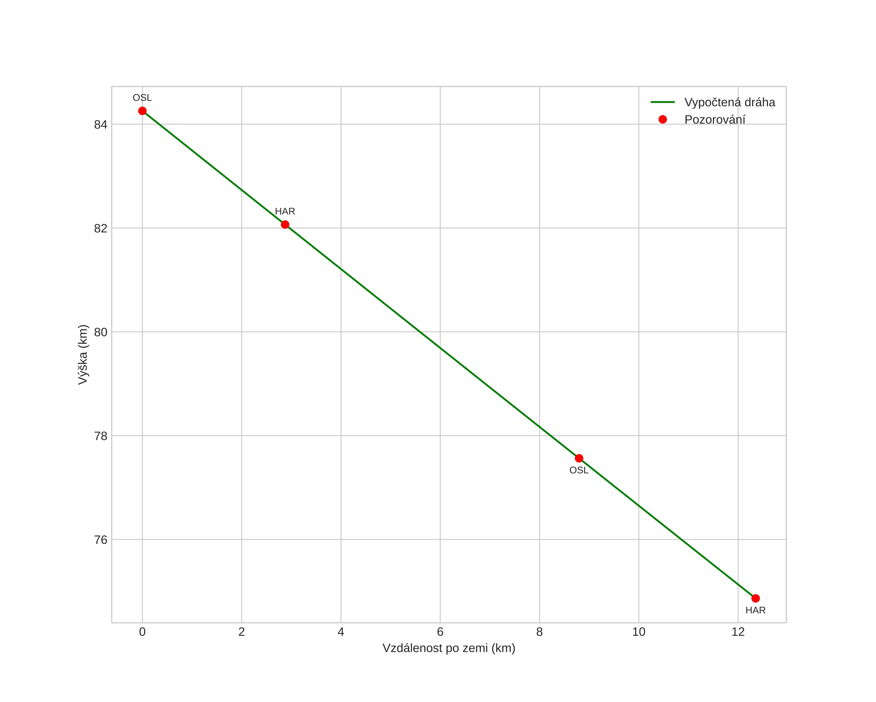
Atmosférická dráha meteoru:
Počáteční výška: 84,5 km
Konečná výška: 74,8 km
Počáteční poloha: 59,844N 11,353E
Konečná poloha: 59,863N 11,570E
Směr: 80,3°
Sklon: 38,3°
VstupnĂ­ rychlost: 25,7 km/s
Rektascenze radiantu: 03:47 (56,8°)
Deklinace radiantu: 25,3°
MeteorickĂ˝ roj: SevernĂ­ Tauridy
Elementy dráhy meteoroidu:
Vzdálenost v periheliu: 0,483 AU
Excentricita: 0,741
Sklon dráhy: 4,4°
Délka vzestupného uzlu: 233,9°
Argument perihelia: 281,7°
Střední anomálie: 342,2°
Epocha: 2024 NOV 16 03:33:38
orbit plot

NeinteraktivnĂ­ graf | InteraktivnĂ­ graf

position vs time
speed and acceleration