🇳🇴 🇬🇧 🇩🇪 🇨🇿 🇫🇮

Meteor Bjørkelangenin yllä 2024-11-16 03:33:38 UTC

KML-tiedosto  |  Interaktiivinen kartta

Kartta näyttää meteorin suuntahavainnot. Vaaleammat viivat näyttävät suunnat havaintoasemilta meteorin ilmestyessä, ja tummemmat viivat näyttävät, missä se viimeksi nähtiin. Sininen nuoli näyttää meteorin näkyvän lennon.

static map
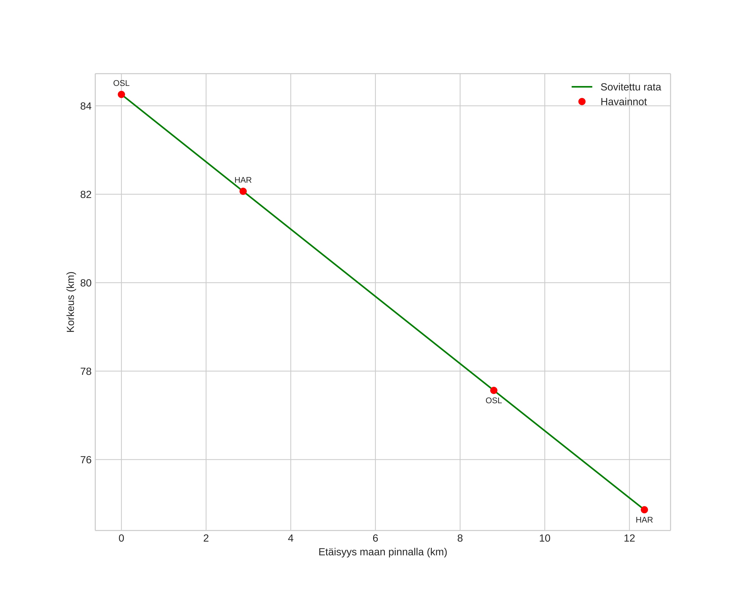
height profile
Meteorin ilmakehärata:
Alkukorkeus: 84,5 km
Loppukorkeus: 74,8 km
Alkupiste: 59,844N 11,353E
Loppupiste: 59,863N 11,570E
Suunta: 80,3°
Kallistuskulma: 38,3°
Tulonopeus: 25,7 km/s
Radiantin R,A,: 03:47 (56,8°)
Radiantin Dekl,: 25,3°
Meteoriparvi: Pohjoiset tauridit
Meteoroidin rataelementit:
Perihelietäisyys: 0,483 AU
Eksentrisyys: 0,741
Inklinaatio: 4,4°
Nousevan solmun pituus: 233,9°
Perihelin argumentti: 281,7°
Keskianomalia: 342,2°
Epookki: 2024 NOV 16 03:33:38
orbit plot

Ei-interaktiivinen kuvaaja | Interaktiivinen kuvaaja

position vs time
speed and acceleration