🇳🇴 🇬🇧 🇩🇪 🇨🇿 🇫🇮

Meteor, poloha: Lillehammer 2024-11-16 03:46:15 UTC

Soubor KML  |  InteraktivnĂ­ mapa

Mapa zobrazuje dráhy meteoru. Světlejší čáry ukazují směry od pozorovacích stanic při objevení se meteoru a tmavší čáry, kde byl naposledy viděn. Modrá šipka značí viditelnou dráhu meteoru.

static map
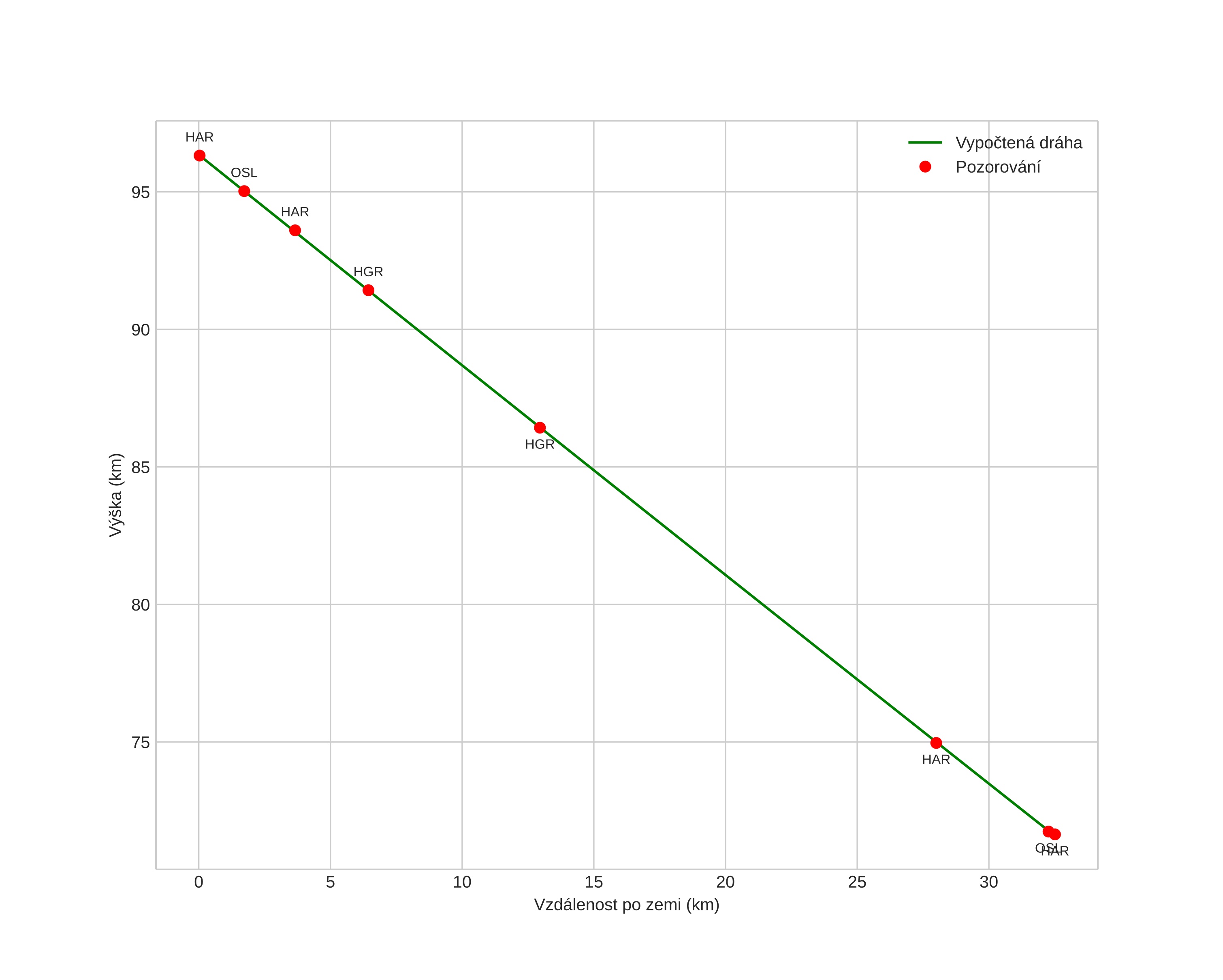
height profile
Atmosférická dráha meteoru:
Počáteční výška: 97,1 km
Konečná výška: 71,6 km
Počáteční poloha: 60,950N 9,751E
Konečná poloha: 61,025N 10,351E
Směr: 75,3°
Sklon: 37,3°
VstupnĂ­ rychlost: 28,8 km/s
Rektascenze radiantu: 04:06 (61,6°)
Deklinace radiantu: 23,4°
MeteorickĂ˝ roj: SevernĂ­ Tauridy
Elementy dráhy meteoroidu:
Vzdálenost v periheliu: 0,394 AU
Excentricita: 0,807
Sklon dráhy: 2,6°
Délka vzestupného uzlu: 233,9°
Argument perihelia: 290,4°
Střední anomálie: 345,2°
Epocha: 2024 NOV 16 03:46:15
orbit plot

NeinteraktivnĂ­ graf | InteraktivnĂ­ graf

position vs time
speed and acceleration