🇳🇴 🇬🇧 🇩🇪 🇨🇿 🇫🇮

Meteor Lillehammerin yllä 2024-11-16 03:46:15 UTC

KML-tiedosto  |  Interaktiivinen kartta

Kartta näyttää meteorin suuntahavainnot. Vaaleammat viivat näyttävät suunnat havaintoasemilta meteorin ilmestyessä, ja tummemmat viivat näyttävät, missä se viimeksi nähtiin. Sininen nuoli näyttää meteorin näkyvän lennon.

static map
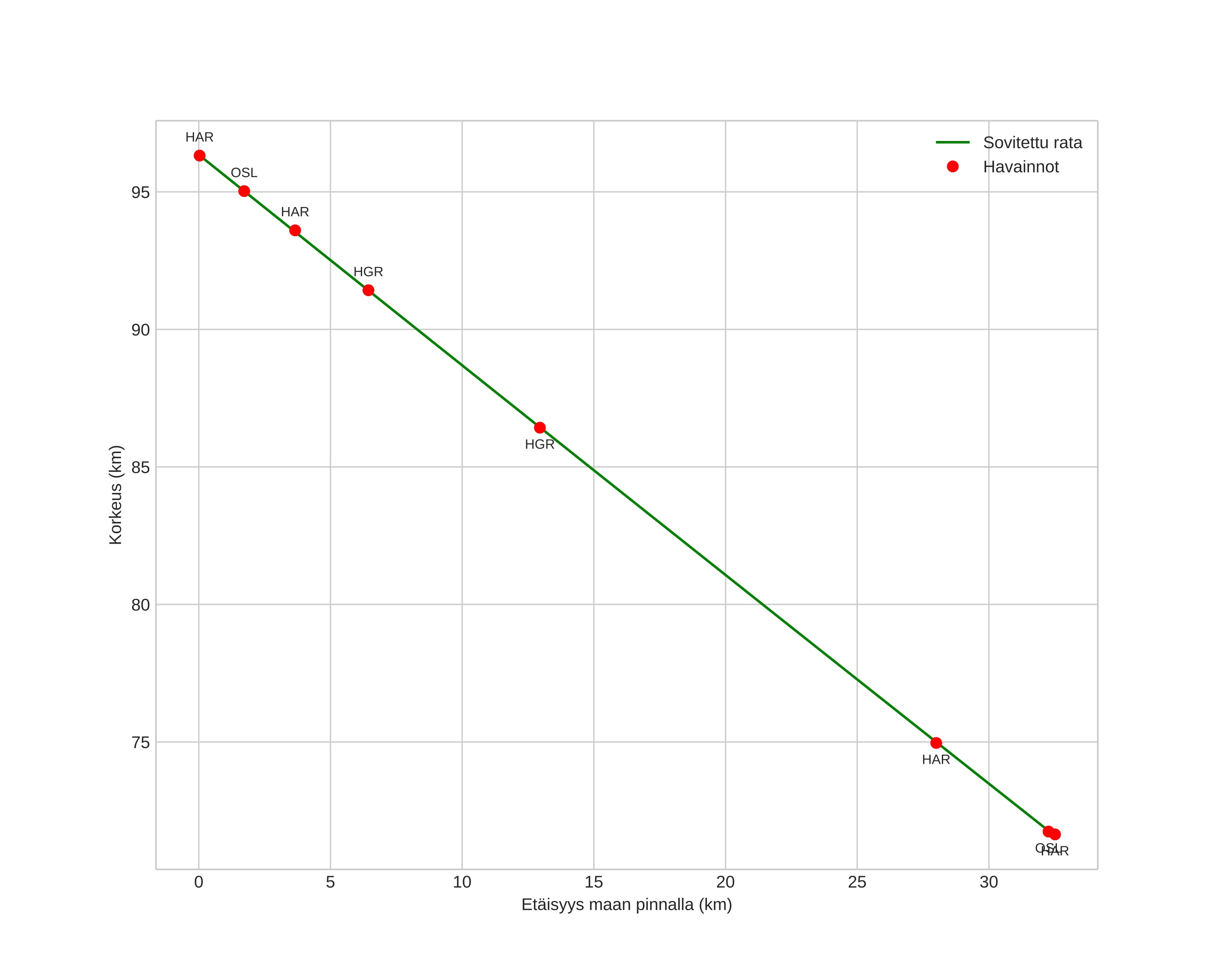
height profile
Meteorin ilmakehärata:
Alkukorkeus: 97,1 km
Loppukorkeus: 71,6 km
Alkupiste: 60,950N 9,751E
Loppupiste: 61,025N 10,351E
Suunta: 75,3°
Kallistuskulma: 37,3°
Tulonopeus: 28,8 km/s
Radiantin R,A,: 04:06 (61,6°)
Radiantin Dekl,: 23,4°
Meteoriparvi: Pohjoiset tauridit
Meteoroidin rataelementit:
Perihelietäisyys: 0,394 AU
Eksentrisyys: 0,807
Inklinaatio: 2,6°
Nousevan solmun pituus: 233,9°
Perihelin argumentti: 290,4°
Keskianomalia: 345,2°
Epookki: 2024 NOV 16 03:46:15
orbit plot

Ei-interaktiivinen kuvaaja | Interaktiivinen kuvaaja

position vs time
speed and acceleration