🇳🇴 🇬🇧 🇩🇪 🇨🇿 🇫🇮

Meteor, poloha: Kirkenær 2024-11-16 05:01:19 UTC

Soubor KML  |  InteraktivnĂ­ mapa

Mapa zobrazuje dráhy meteoru. Světlejší čáry ukazují směry od pozorovacích stanic při objevení se meteoru a tmavší čáry, kde byl naposledy viděn. Modrá šipka značí viditelnou dráhu meteoru.

static map
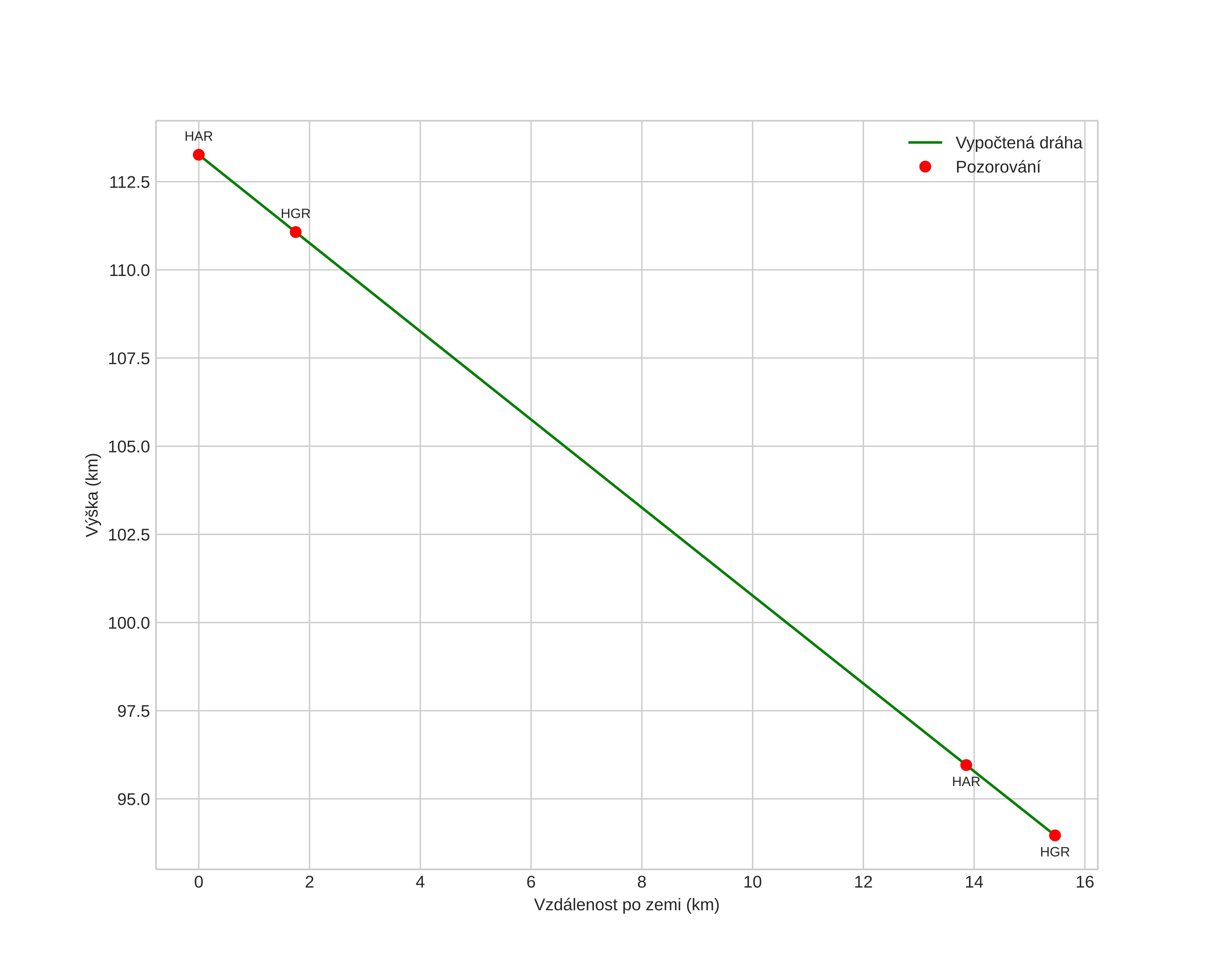
height profile
Atmosférická dráha meteoru:
Počáteční výška: 114,2 km
Konečná výška: 93,2 km
Počáteční poloha: 60,425N 12,522E
Konečná poloha: 60,563N 12,438E
Směr: 343,4°
Sklon: 52,7°
VstupnĂ­ rychlost: 49,8 km/s
Rektascenze radiantu: 10:15 (153,9°)
Deklinace radiantu: 23,5°
MeteorickĂ˝ roj: sporadickĂ˝
Elementy dráhy meteoroidu:
Vzdálenost v periheliu: 0,283 AU
Excentricita: 0,557
Sklon dráhy: 150,2°
Délka vzestupného uzlu: 234,0°
Argument perihelia: 5,5°
Střední anomálie: 164,1°
Epocha: 2024 NOV 16 05:01:19
orbit plot

NeinteraktivnĂ­ graf | InteraktivnĂ­ graf

position vs time
speed and acceleration