🇳🇴 🇬🇧 🇩🇪 🇨🇿 🇫🇮

Meteor Kirkenærin yllä 2024-11-16 05:01:19 UTC

KML-tiedosto  |  Interaktiivinen kartta

Kartta näyttää meteorin suuntahavainnot. Vaaleammat viivat näyttävät suunnat havaintoasemilta meteorin ilmestyessä, ja tummemmat viivat näyttävät, missä se viimeksi nähtiin. Sininen nuoli näyttää meteorin näkyvän lennon.

static map
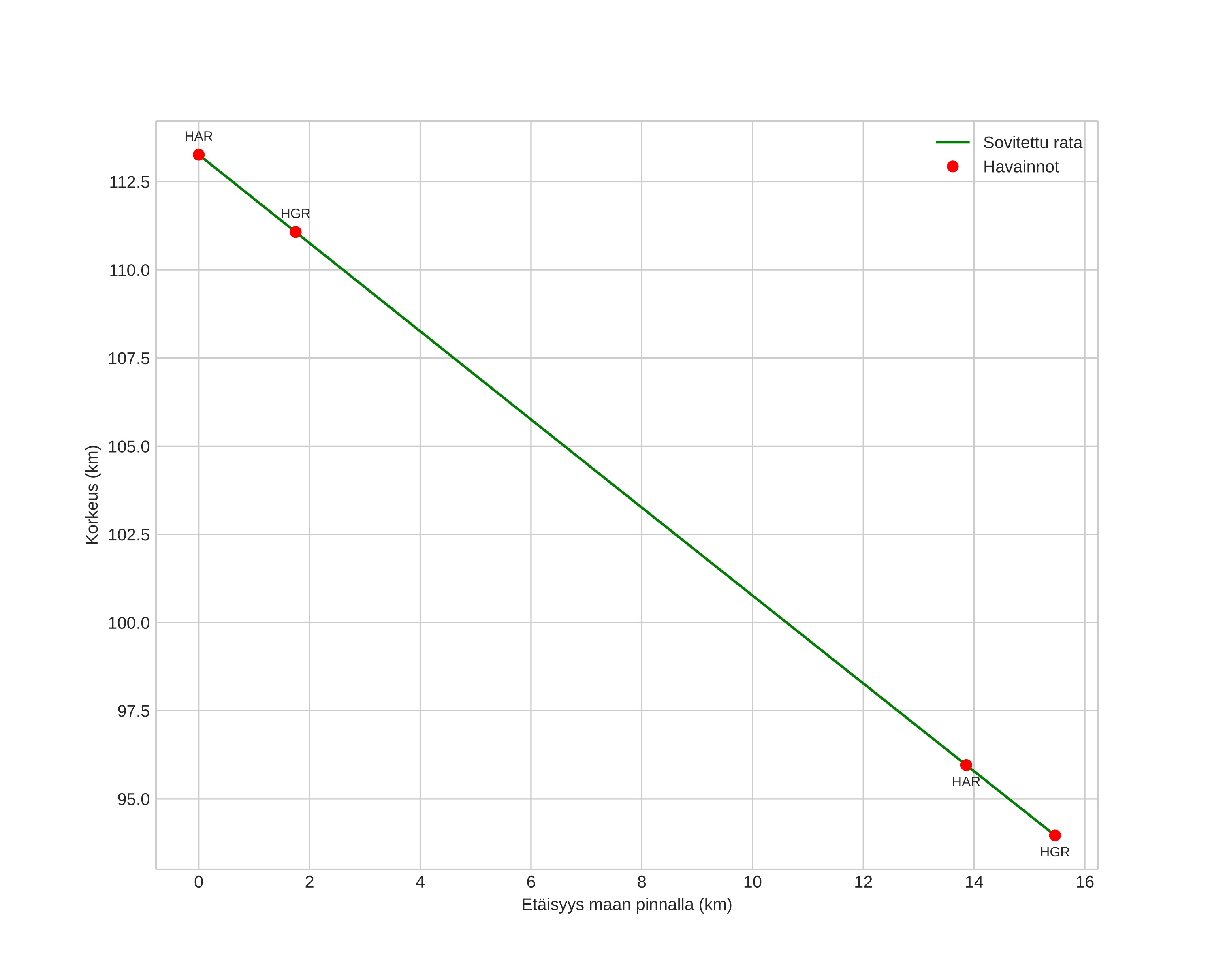
height profile
Meteorin ilmakehärata:
Alkukorkeus: 114,2 km
Loppukorkeus: 93,2 km
Alkupiste: 60,425N 12,522E
Loppupiste: 60,563N 12,438E
Suunta: 343,4°
Kallistuskulma: 52,7°
Tulonopeus: 49,8 km/s
Radiantin R,A,: 10:15 (153,9°)
Radiantin Dekl,: 23,5°
Meteoriparvi: Sporadinen
Meteoroidin rataelementit:
Perihelietäisyys: 0,283 AU
Eksentrisyys: 0,557
Inklinaatio: 150,2°
Nousevan solmun pituus: 234,0°
Perihelin argumentti: 5,5°
Keskianomalia: 164,1°
Epookki: 2024 NOV 16 05:01:19
orbit plot

Ei-interaktiivinen kuvaaja | Interaktiivinen kuvaaja

position vs time
speed and acceleration