🇳🇴 🇬🇧 🇩🇪 🇨🇿 🇫🇮

Meteor, poloha: Innbygda 2024-11-16 05:21:40 UTC

Soubor KML  |  InteraktivnĂ­ mapa

Mapa zobrazuje dráhy meteoru. Světlejší čáry ukazují směry od pozorovacích stanic při objevení se meteoru a tmavší čáry, kde byl naposledy viděn. Modrá šipka značí viditelnou dráhu meteoru.

static map
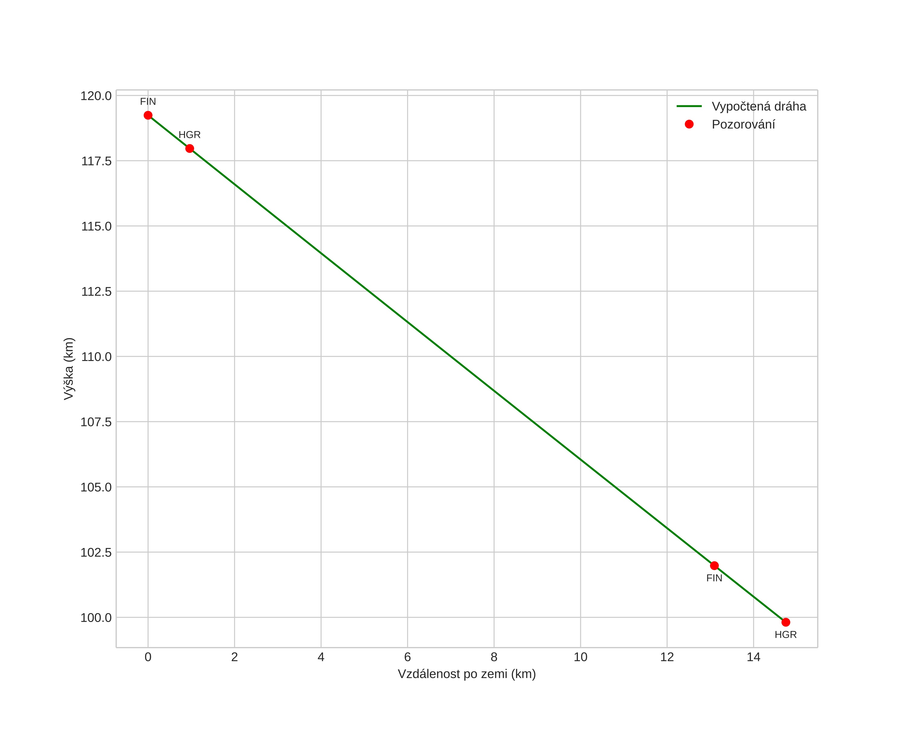
height profile
Atmosférická dráha meteoru:
Počáteční výška: 122,9 km
Konečná výška: 99,6 km
Počáteční poloha: 60,786N 12,478E
Konečná poloha: 60,942N 12,436E
Směr: 352,6°
Sklon: 53,2°
VstupnĂ­ rychlost: 69,1 km/s
Rektascenze radiantu: 10:11 (152,9°)
Deklinace radiantu: 24,0°
MeteorickĂ˝ roj: Leonidy
Elementy dráhy meteoroidu:
Vzdálenost v periheliu: 0,985 AU
Excentricita: 0,716
Sklon dráhy: 158,9°
Délka vzestupného uzlu: 234,0°
Argument perihelia: 172,1°
Střední anomálie: 0,9°
Epocha: 2024 NOV 16 05:21:40
orbit plot

NeinteraktivnĂ­ graf | InteraktivnĂ­ graf

position vs time
speed and acceleration