🇳🇴 🇬🇧 🇩🇪 🇨🇿 🇫🇮

Meteor Innbygdan yllä 2024-11-16 05:21:40 UTC

KML-tiedosto  |  Interaktiivinen kartta

Kartta näyttää meteorin suuntahavainnot. Vaaleammat viivat näyttävät suunnat havaintoasemilta meteorin ilmestyessä, ja tummemmat viivat näyttävät, missä se viimeksi nähtiin. Sininen nuoli näyttää meteorin näkyvän lennon.

static map
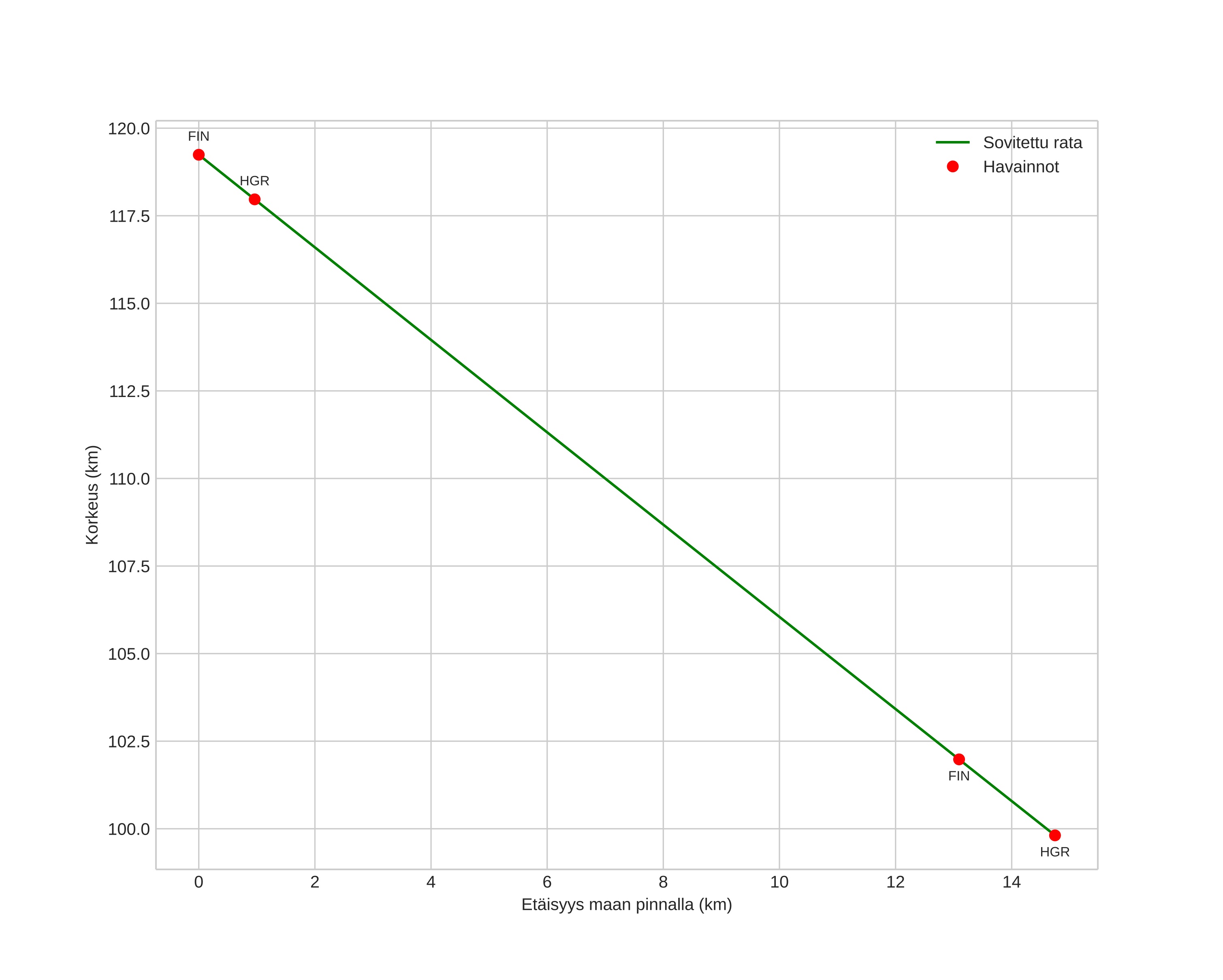
height profile
Meteorin ilmakehärata:
Alkukorkeus: 122,9 km
Loppukorkeus: 99,6 km
Alkupiste: 60,786N 12,478E
Loppupiste: 60,942N 12,436E
Suunta: 352,6°
Kallistuskulma: 53,2°
Tulonopeus: 69,1 km/s
Radiantin R,A,: 10:11 (152,9°)
Radiantin Dekl,: 24,0°
Meteoriparvi: Leonidit
Meteoroidin rataelementit:
Perihelietäisyys: 0,985 AU
Eksentrisyys: 0,716
Inklinaatio: 158,9°
Nousevan solmun pituus: 234,0°
Perihelin argumentti: 172,1°
Keskianomalia: 0,9°
Epookki: 2024 NOV 16 05:21:40
orbit plot

Ei-interaktiivinen kuvaaja | Interaktiivinen kuvaaja

position vs time
speed and acceleration