🇳🇴 🇬🇧 🇩🇪 🇨🇿 🇫🇮

Meteor, poloha: Moelv 2024-11-16 16:11:11 UTC

Soubor KML  |  InteraktivnĂ­ mapa

Mapa zobrazuje dráhy meteoru. Světlejší čáry ukazují směry od pozorovacích stanic při objevení se meteoru a tmavší čáry, kde byl naposledy viděn. Modrá šipka značí viditelnou dráhu meteoru.

static map
height profile
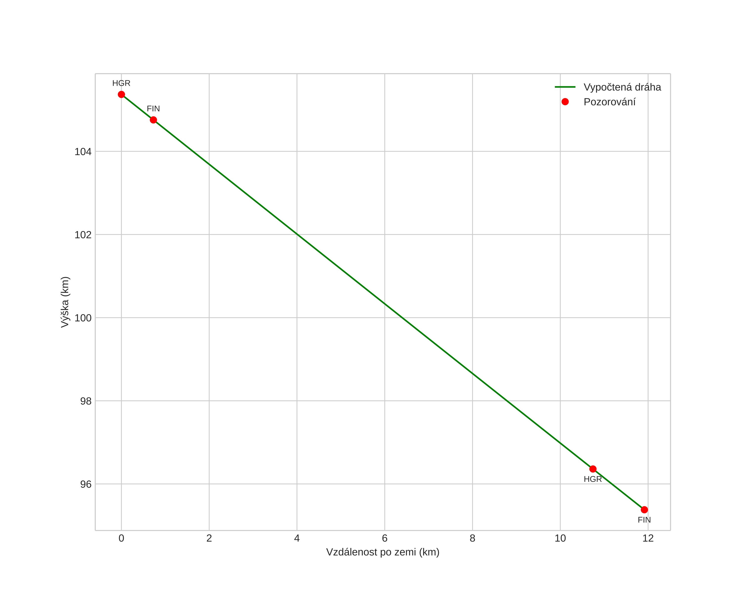
Atmosférická dráha meteoru:
Počáteční výška: 105,3 km
Konečná výška: 95,1 km
Počáteční poloha: 61,000N 10,379E
Konečná poloha: 60,922N 10,533E
Směr: 136,0°
Sklon: 40,5°
VstupnĂ­ rychlost: 39,0 km/s
Rektascenze radiantu: 13:23 (201,0°)
Deklinace radiantu: 55,4°
MeteorickĂ˝ roj: sporadickĂ˝
Elementy dráhy meteoroidu:
Vzdálenost v periheliu: 0,904 AU
Excentricita: 0,341
Sklon dráhy: 70,9°
Délka vzestupného uzlu: 234,5°
Argument perihelia: 131,4°
Střední anomálie: 23,9°
Epocha: 2024 NOV 16 16:11:11
orbit plot

NeinteraktivnĂ­ graf | InteraktivnĂ­ graf

position vs time
speed and acceleration