🇳🇴 🇬🇧 🇩🇪 🇨🇿 🇫🇮

Meteor Moelvin yllä 2024-11-16 16:11:11 UTC

KML-tiedosto  |  Interaktiivinen kartta

Kartta näyttää meteorin suuntahavainnot. Vaaleammat viivat näyttävät suunnat havaintoasemilta meteorin ilmestyessä, ja tummemmat viivat näyttävät, missä se viimeksi nähtiin. Sininen nuoli näyttää meteorin näkyvän lennon.

static map
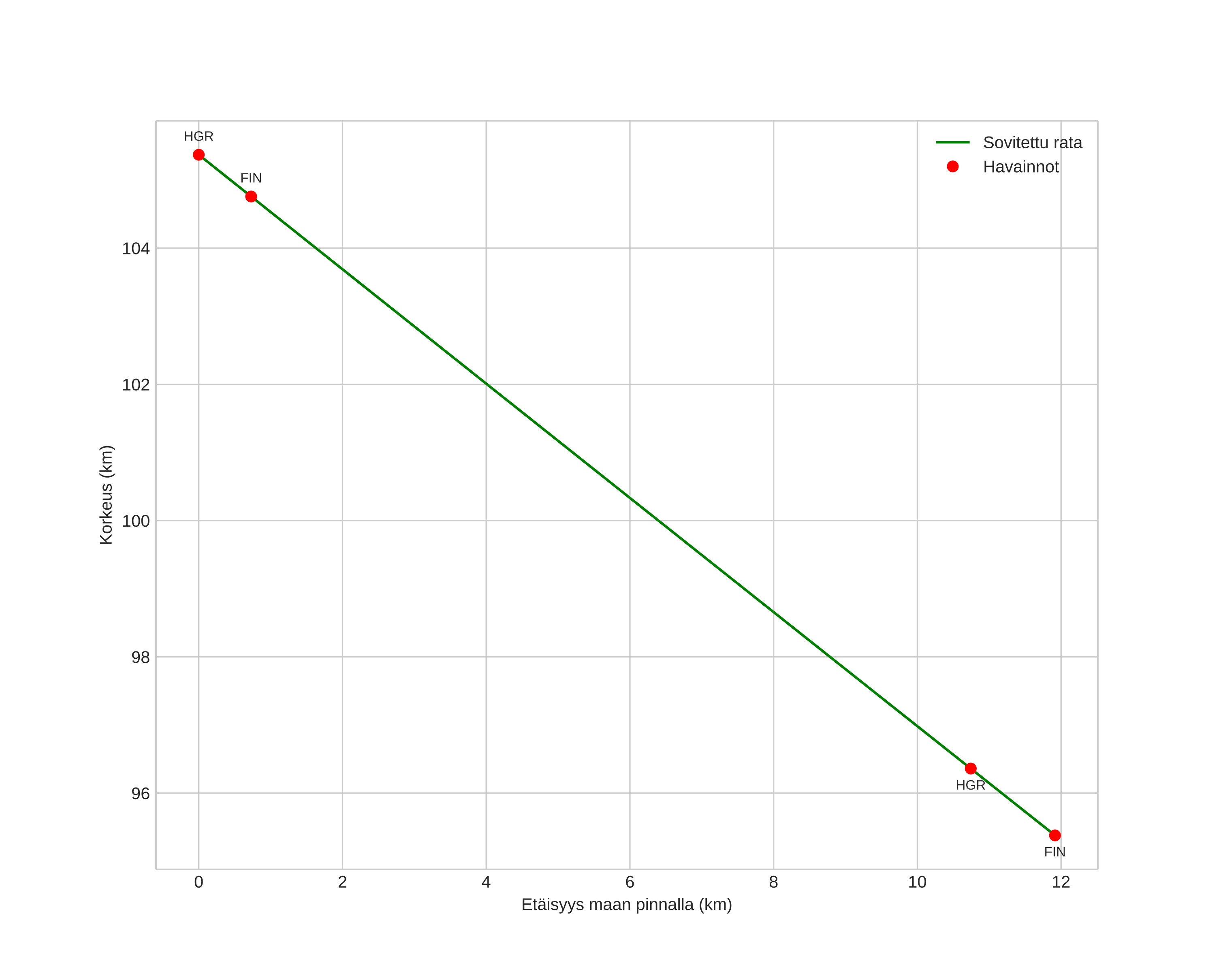
height profile
Meteorin ilmakehärata:
Alkukorkeus: 105,3 km
Loppukorkeus: 95,1 km
Alkupiste: 61,000N 10,379E
Loppupiste: 60,922N 10,533E
Suunta: 136,0°
Kallistuskulma: 40,5°
Tulonopeus: 39,0 km/s
Radiantin R,A,: 13:23 (201,0°)
Radiantin Dekl,: 55,4°
Meteoriparvi: Sporadinen
Meteoroidin rataelementit:
Perihelietäisyys: 0,904 AU
Eksentrisyys: 0,341
Inklinaatio: 70,9°
Nousevan solmun pituus: 234,5°
Perihelin argumentti: 131,4°
Keskianomalia: 23,9°
Epookki: 2024 NOV 16 16:11:11
orbit plot

Ei-interaktiivinen kuvaaja | Interaktiivinen kuvaaja

position vs time
speed and acceleration