🇳🇴 🇬🇧 🇩🇪 🇨🇿 🇫🇮

Meteor, poloha: Elverum 2024-11-16 23:04:57 UTC

Soubor KML  |  InteraktivnĂ­ mapa

Mapa zobrazuje dráhy meteoru. Světlejší čáry ukazují směry od pozorovacích stanic při objevení se meteoru a tmavší čáry, kde byl naposledy viděn. Modrá šipka značí viditelnou dráhu meteoru.

static map
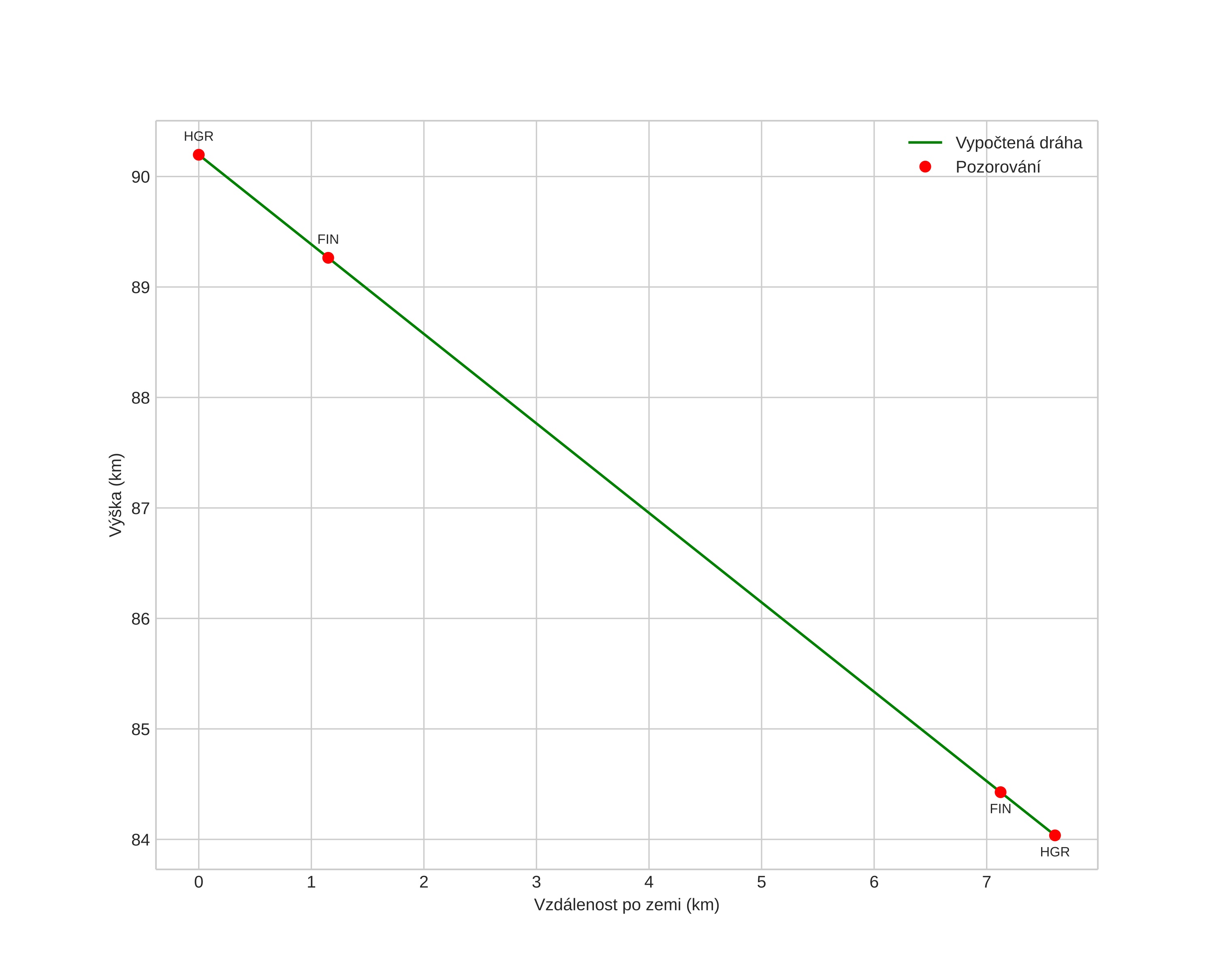
height profile
Atmosférická dráha meteoru:
Počáteční výška: 91,1 km
Konečná výška: 82,7 km
Počáteční poloha: 60,962N 12,000E
Konečná poloha: 61,038N 11,887E
Směr: 324,3°
Sklon: 38,9°
VstupnĂ­ rychlost: 39,6 km/s
Rektascenze radiantu: 05:28 (82,2°)
Deklinace radiantu: 12,9°
MeteorickĂ˝ roj: sporadickĂ˝
Elementy dráhy meteoroidu:
Vzdálenost v periheliu: 0,120 AU
Excentricita: 0,937
Sklon dráhy: 27,8°
Délka vzestupného uzlu: 54,8°
Argument perihelia: 144,6°
Střední anomálie: 347,0°
Epocha: 2024 NOV 16 23:04:57
orbit plot

NeinteraktivnĂ­ graf | InteraktivnĂ­ graf

position vs time
speed and acceleration