🇳🇴 🇬🇧 🇩🇪 🇨🇿 🇫🇮

Meteor Elverumin yllä 2024-11-16 23:04:57 UTC

KML-tiedosto  |  Interaktiivinen kartta

Kartta näyttää meteorin suuntahavainnot. Vaaleammat viivat näyttävät suunnat havaintoasemilta meteorin ilmestyessä, ja tummemmat viivat näyttävät, missä se viimeksi nähtiin. Sininen nuoli näyttää meteorin näkyvän lennon.

static map
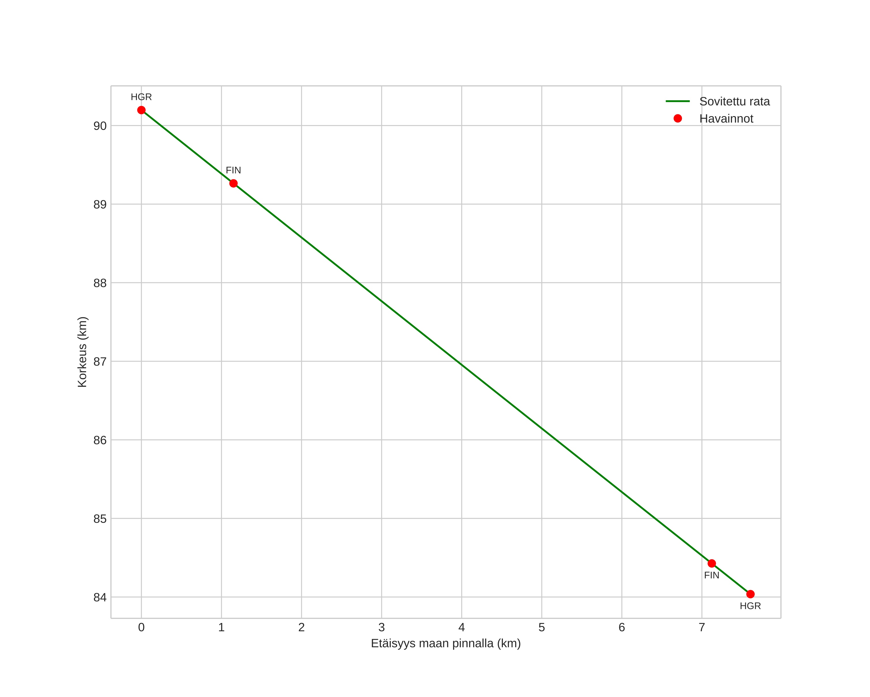
height profile
Meteorin ilmakehärata:
Alkukorkeus: 91,1 km
Loppukorkeus: 82,7 km
Alkupiste: 60,962N 12,000E
Loppupiste: 61,038N 11,887E
Suunta: 324,3°
Kallistuskulma: 38,9°
Tulonopeus: 39,6 km/s
Radiantin R,A,: 05:28 (82,2°)
Radiantin Dekl,: 12,9°
Meteoriparvi: Sporadinen
Meteoroidin rataelementit:
Perihelietäisyys: 0,120 AU
Eksentrisyys: 0,937
Inklinaatio: 27,8°
Nousevan solmun pituus: 54,8°
Perihelin argumentti: 144,6°
Keskianomalia: 347,0°
Epookki: 2024 NOV 16 23:04:57
orbit plot

Ei-interaktiivinen kuvaaja | Interaktiivinen kuvaaja

position vs time
speed and acceleration