🇳🇴 🇬🇧 🇩🇪 🇨🇿 🇫🇮

Meteor, poloha: Fossby 2024-11-16 23:38:30 UTC

Soubor KML  |  InteraktivnĂ­ mapa

Mapa zobrazuje dráhy meteoru. Světlejší čáry ukazují směry od pozorovacích stanic při objevení se meteoru a tmavší čáry, kde byl naposledy viděn. Modrá šipka značí viditelnou dráhu meteoru.

static map
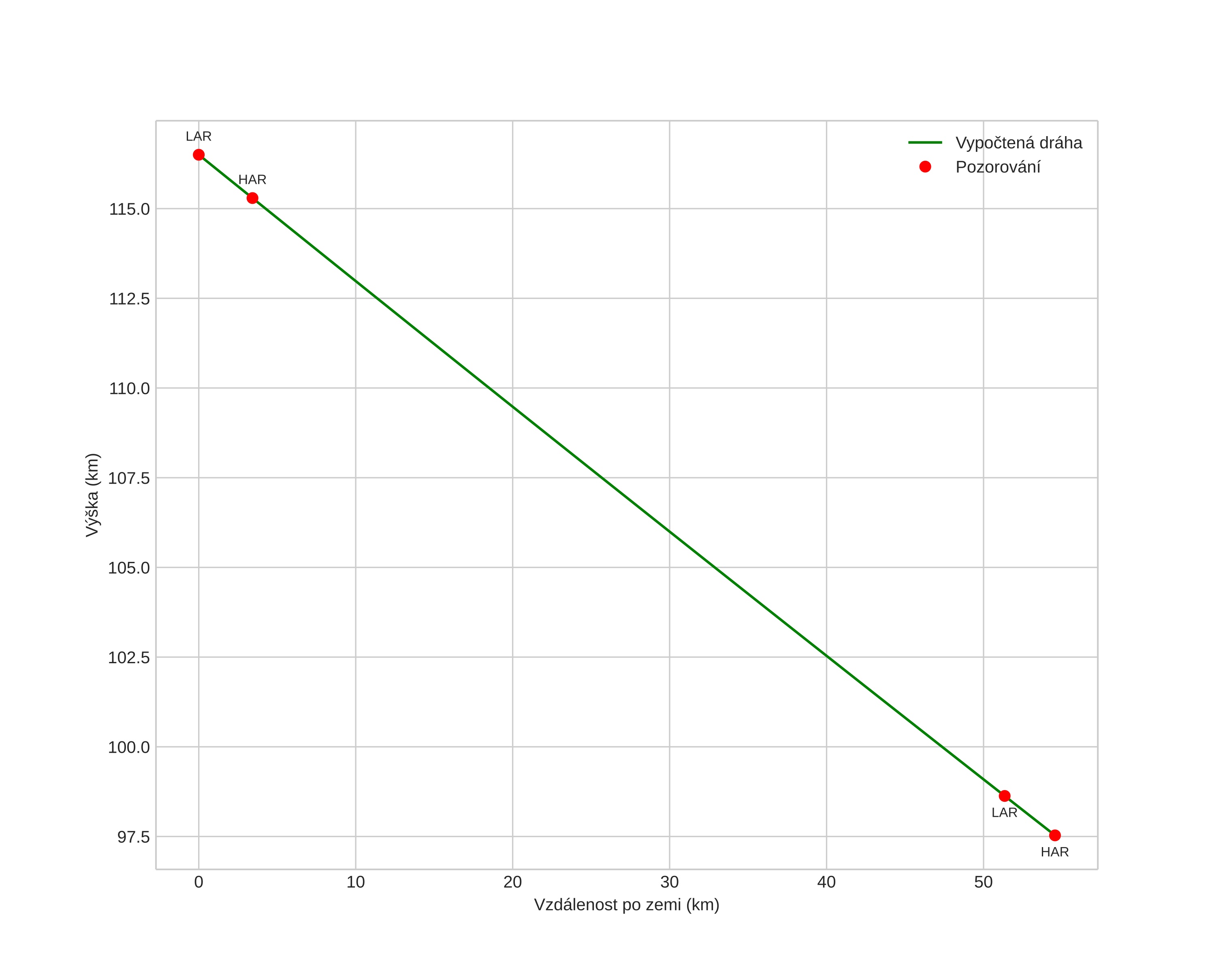
height profile
Atmosférická dráha meteoru:
Počáteční výška: 117,3 km
Konečná výška: 97,5 km
Počáteční poloha: 59,388N 12,850E
Konečná poloha: 59,285N 11,852E
Směr: 259,0°
Sklon: 18,9°
VstupnĂ­ rychlost: 70,6 km/s
Rektascenze radiantu: 10:13 (153,3°)
Deklinace radiantu: 21,5°
MeteorickĂ˝ roj: Leonidy
Elementy dráhy meteoroidu:
Vzdálenost v periheliu: 0,983 AU
Excentricita: 0,801
Sklon dráhy: 162,8°
Délka vzestupného uzlu: 234,8°
Argument perihelia: 170,8°
Střední anomálie: 0,6°
Epocha: 2024 NOV 16 23:38:30
orbit plot

NeinteraktivnĂ­ graf | InteraktivnĂ­ graf

position vs time
speed and acceleration