🇳🇴 🇬🇧 🇩🇪 🇨🇿 🇫🇮

Meteor Fossbyn yllä 2024-11-16 23:38:30 UTC

KML-tiedosto  |  Interaktiivinen kartta

Kartta näyttää meteorin suuntahavainnot. Vaaleammat viivat näyttävät suunnat havaintoasemilta meteorin ilmestyessä, ja tummemmat viivat näyttävät, missä se viimeksi nähtiin. Sininen nuoli näyttää meteorin näkyvän lennon.

static map
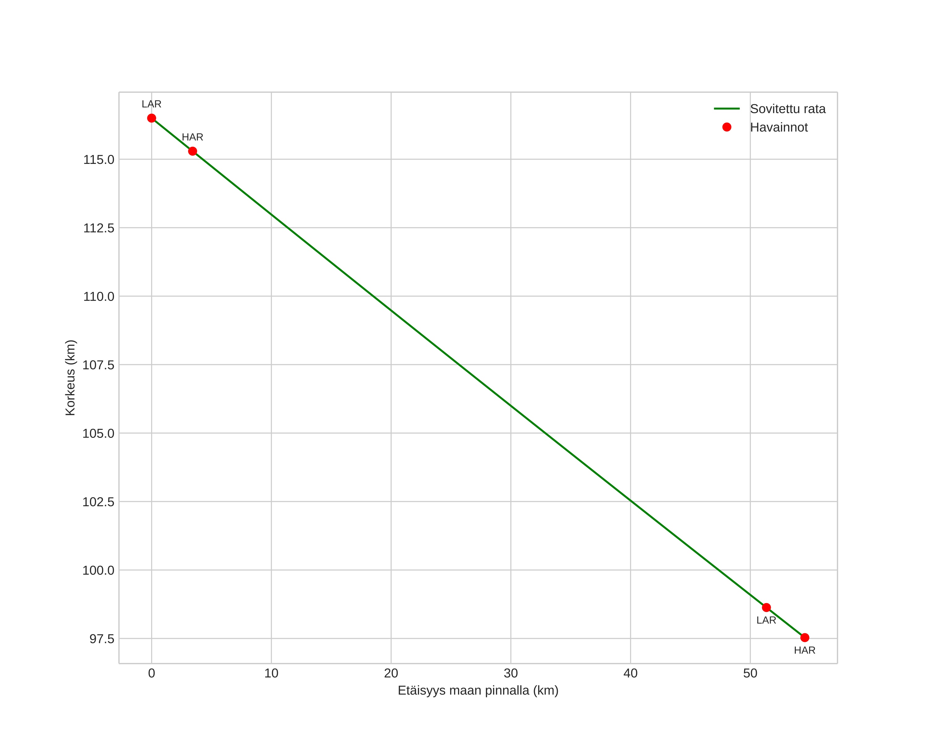
height profile
Meteorin ilmakehärata:
Alkukorkeus: 117,3 km
Loppukorkeus: 97,5 km
Alkupiste: 59,388N 12,850E
Loppupiste: 59,285N 11,852E
Suunta: 259,0°
Kallistuskulma: 18,9°
Tulonopeus: 70,6 km/s
Radiantin R,A,: 10:13 (153,3°)
Radiantin Dekl,: 21,5°
Meteoriparvi: Leonidit
Meteoroidin rataelementit:
Perihelietäisyys: 0,983 AU
Eksentrisyys: 0,801
Inklinaatio: 162,8°
Nousevan solmun pituus: 234,8°
Perihelin argumentti: 170,8°
Keskianomalia: 0,6°
Epookki: 2024 NOV 16 23:38:30
orbit plot

Ei-interaktiivinen kuvaaja | Interaktiivinen kuvaaja

position vs time
speed and acceleration