🇳🇴 🇬🇧 🇩🇪 🇨🇿 🇫🇮

Meteor, poloha: Innbygda 2024-11-16 23:47:56 UTC

Soubor KML  |  InteraktivnĂ­ mapa

Mapa zobrazuje dráhy meteoru. Světlejší čáry ukazují směry od pozorovacích stanic při objevení se meteoru a tmavší čáry, kde byl naposledy viděn. Modrá šipka značí viditelnou dráhu meteoru.

static map
height profile
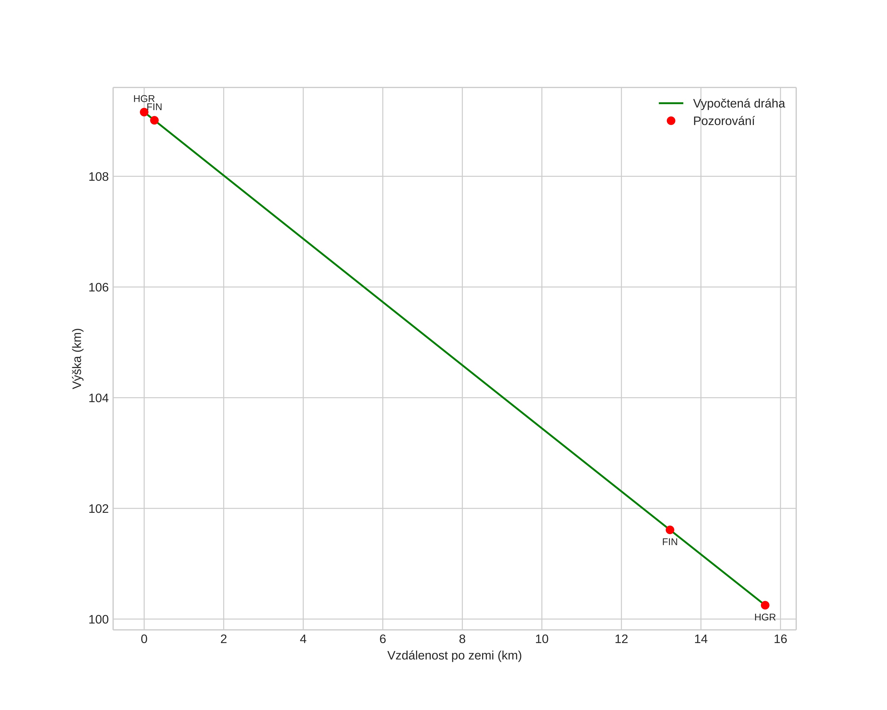
Atmosférická dráha meteoru:
Počáteční výška: 110,1 km
Konečná výška: 100,3 km
Počáteční poloha: 61,317N 12,462E
Konečná poloha: 61,386N 12,173E
Směr: 296,5°
Sklon: 29,7°
VstupnĂ­ rychlost: 72,3 km/s
Rektascenze radiantu: 07:55 (119,0°)
Deklinace radiantu: 14,1°
MeteorickĂ˝ roj: sporadickĂ˝
Elementy dráhy meteoroidu:
Vzdálenost v periheliu: 0,571 AU
Excentricita: 1,259
Sklon dráhy: 166,2°
Délka vzestupného uzlu: 54,8°
Argument perihelia: 76,0°
Střední anomálie: -10,0°
Epocha: 2024 NOV 16 23:47:56
orbit plot

NeinteraktivnĂ­ graf | InteraktivnĂ­ graf

position vs time
speed and acceleration