🇳🇴 🇬🇧 🇩🇪 🇨🇿 🇫🇮

Meteor Innbygdan yllä 2024-11-16 23:47:56 UTC

KML-tiedosto  |  Interaktiivinen kartta

Kartta näyttää meteorin suuntahavainnot. Vaaleammat viivat näyttävät suunnat havaintoasemilta meteorin ilmestyessä, ja tummemmat viivat näyttävät, missä se viimeksi nähtiin. Sininen nuoli näyttää meteorin näkyvän lennon.

static map
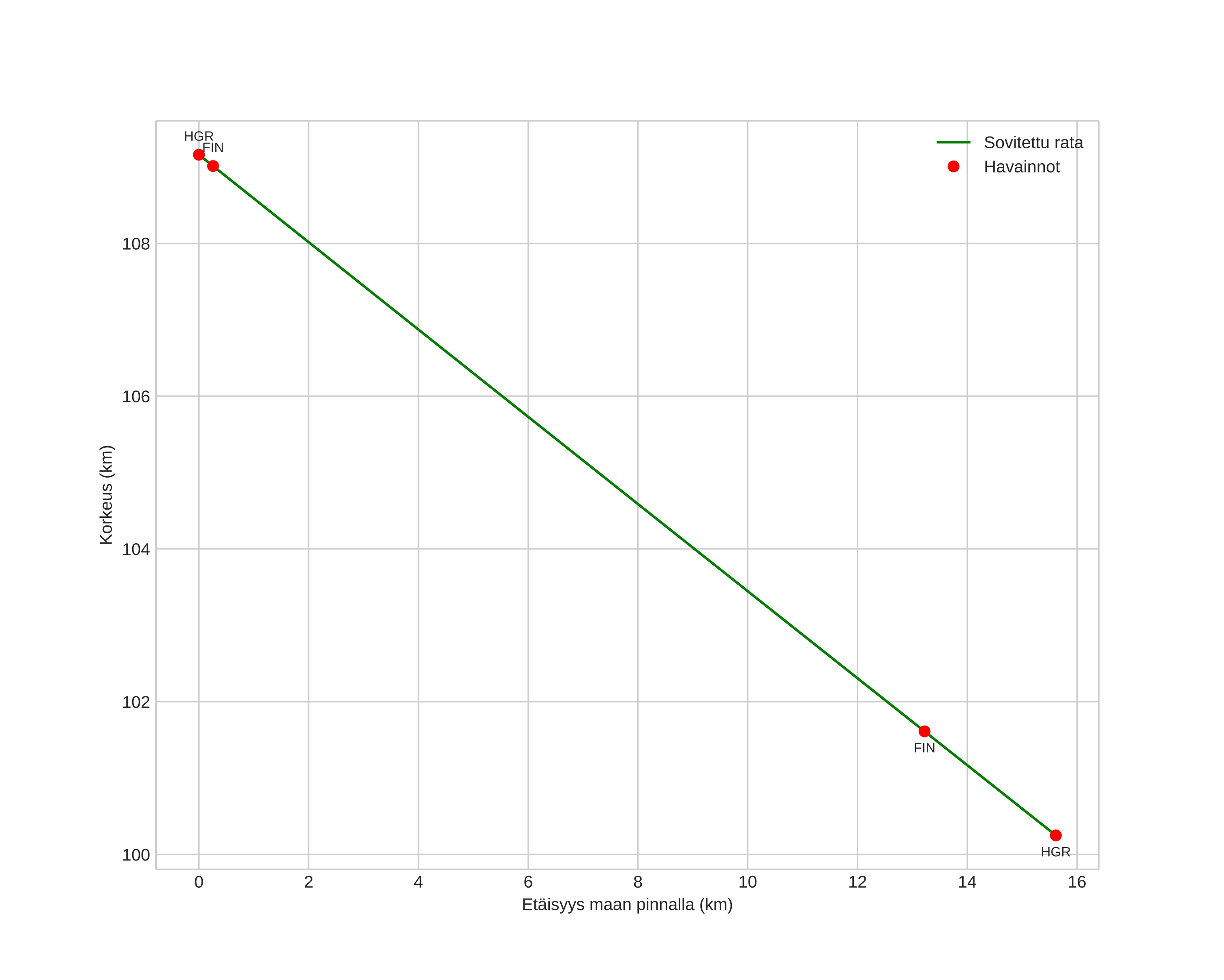
height profile
Meteorin ilmakehärata:
Alkukorkeus: 110,1 km
Loppukorkeus: 100,3 km
Alkupiste: 61,317N 12,462E
Loppupiste: 61,386N 12,173E
Suunta: 296,5°
Kallistuskulma: 29,7°
Tulonopeus: 72,3 km/s
Radiantin R,A,: 07:55 (119,0°)
Radiantin Dekl,: 14,1°
Meteoriparvi: Sporadinen
Meteoroidin rataelementit:
Perihelietäisyys: 0,571 AU
Eksentrisyys: 1,259
Inklinaatio: 166,2°
Nousevan solmun pituus: 54,8°
Perihelin argumentti: 76,0°
Keskianomalia: -10,0°
Epookki: 2024 NOV 16 23:47:56
orbit plot

Ei-interaktiivinen kuvaaja | Interaktiivinen kuvaaja

position vs time
speed and acceleration