🇳🇴 🇬🇧 🇩🇪 🇨🇿 🇫🇮

Meteor, poloha: Innbygda 2024-11-17 00:07:36 UTC

Soubor KML  |  InteraktivnĂ­ mapa

Mapa zobrazuje dráhy meteoru. Světlejší čáry ukazují směry od pozorovacích stanic při objevení se meteoru a tmavší čáry, kde byl naposledy viděn. Modrá šipka značí viditelnou dráhu meteoru.

static map
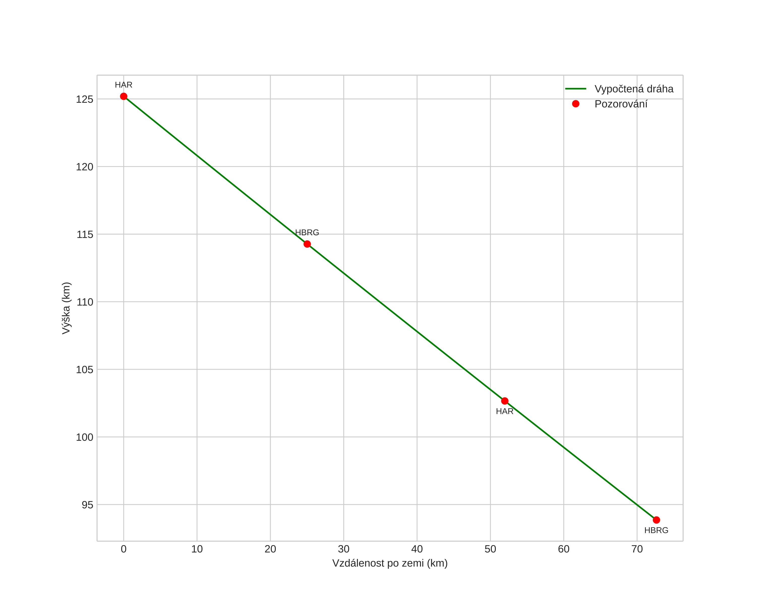
height profile
Atmosférická dráha meteoru:
Počáteční výška: 125,1 km
Konečná výška: 93,9 km
Počáteční poloha: 61,597N 13,725E
Konečná poloha: 61,560N 12,357E
Směr: 267,3°
Sklon: 23,3°
VstupnĂ­ rychlost: 42,6 km/s
Rektascenze radiantu: 10:12 (153,1°)
Deklinace radiantu: 20,7°
MeteorickĂ˝ roj: sporadickĂ˝
Elementy dráhy meteoroidu:
Vzdálenost v periheliu: 0,088 AU
Excentricita: 0,837
Sklon dráhy: 148,3°
Délka vzestupného uzlu: 234,8°
Argument perihelia: 1,5°
Střední anomálie: 170,7°
Epocha: 2024 NOV 17 00:07:36
orbit plot

NeinteraktivnĂ­ graf | InteraktivnĂ­ graf

position vs time
speed and acceleration