🇳🇴 🇬🇧 🇩🇪 🇨🇿 🇫🇮

Meteor Innbygdan yllä 2024-11-17 00:07:36 UTC

KML-tiedosto  |  Interaktiivinen kartta

Kartta näyttää meteorin suuntahavainnot. Vaaleammat viivat näyttävät suunnat havaintoasemilta meteorin ilmestyessä, ja tummemmat viivat näyttävät, missä se viimeksi nähtiin. Sininen nuoli näyttää meteorin näkyvän lennon.

static map
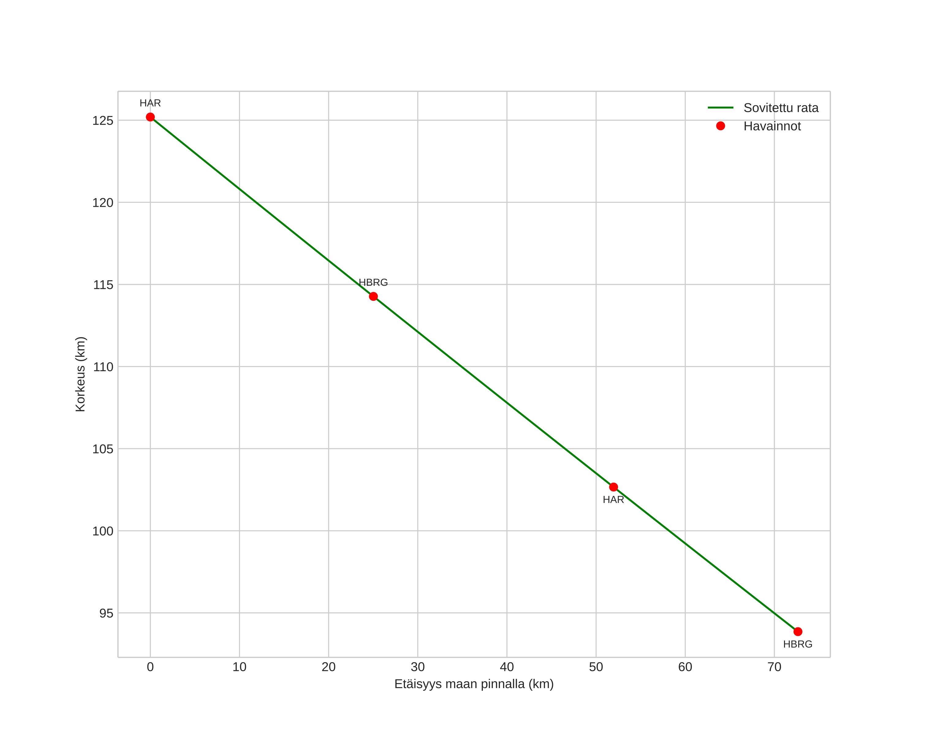
height profile
Meteorin ilmakehärata:
Alkukorkeus: 125,1 km
Loppukorkeus: 93,9 km
Alkupiste: 61,597N 13,725E
Loppupiste: 61,560N 12,357E
Suunta: 267,3°
Kallistuskulma: 23,3°
Tulonopeus: 42,6 km/s
Radiantin R,A,: 10:12 (153,1°)
Radiantin Dekl,: 20,7°
Meteoriparvi: Sporadinen
Meteoroidin rataelementit:
Perihelietäisyys: 0,088 AU
Eksentrisyys: 0,837
Inklinaatio: 148,3°
Nousevan solmun pituus: 234,8°
Perihelin argumentti: 1,5°
Keskianomalia: 170,7°
Epookki: 2024 NOV 17 00:07:36
orbit plot

Ei-interaktiivinen kuvaaja | Interaktiivinen kuvaaja

position vs time
speed and acceleration