🇳🇴 🇬🇧 🇩🇪 🇨🇿 🇫🇮

Meteor, poloha: Kirkenær 2024-11-17 00:25:18 UTC

Soubor KML  |  InteraktivnĂ­ mapa

Mapa zobrazuje dráhy meteoru. Světlejší čáry ukazují směry od pozorovacích stanic při objevení se meteoru a tmavší čáry, kde byl naposledy viděn. Modrá šipka značí viditelnou dráhu meteoru.

static map
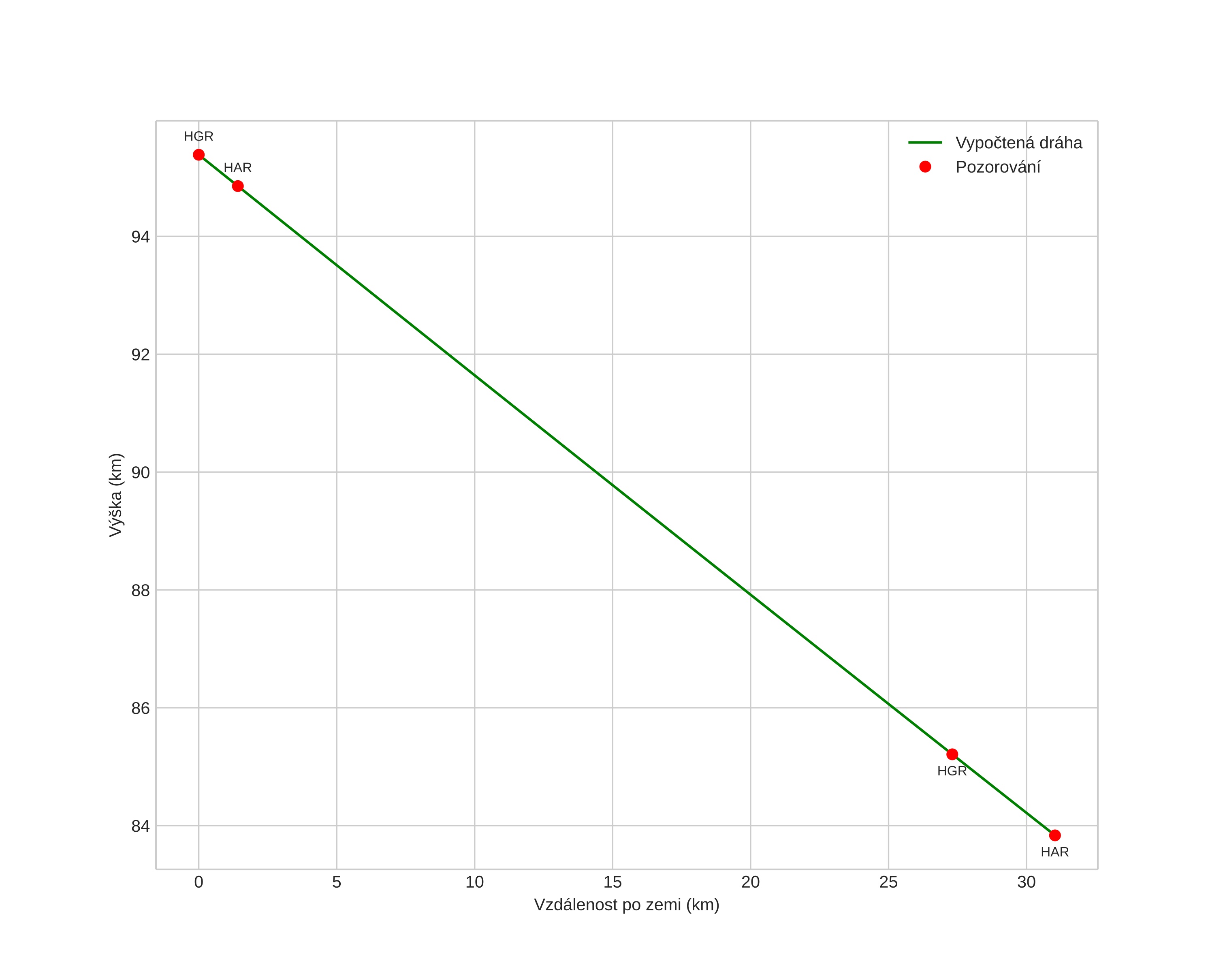
height profile
Atmosférická dráha meteoru:
Počáteční výška: 94,1 km
Konečná výška: 83,1 km
Počáteční poloha: 60,251N 11,840E
Konečná poloha: 60,505N 12,050E
Směr: 22,1°
Sklon: 19,8°
VstupnĂ­ rychlost: 25,3 km/s
Rektascenze radiantu: 03:28 (52,1°)
Deklinace radiantu: -12,2°
MeteorickĂ˝ roj: sporadickĂ˝
Elementy dráhy meteoroidu:
Vzdálenost v periheliu: 0,727 AU
Excentricita: 0,859
Sklon dráhy: 19,0°
Délka vzestupného uzlu: 54,8°
Argument perihelia: 64,7°
Střední anomálie: 356,9°
Epocha: 2024 NOV 17 00:25:18
orbit plot

NeinteraktivnĂ­ graf | InteraktivnĂ­ graf

position vs time
speed and acceleration