🇳🇴 🇬🇧 🇩🇪 🇨🇿 🇫🇮

Meteor Kirkenærin yllä 2024-11-17 00:25:18 UTC

KML-tiedosto  |  Interaktiivinen kartta

Kartta näyttää meteorin suuntahavainnot. Vaaleammat viivat näyttävät suunnat havaintoasemilta meteorin ilmestyessä, ja tummemmat viivat näyttävät, missä se viimeksi nähtiin. Sininen nuoli näyttää meteorin näkyvän lennon.

static map
height profile
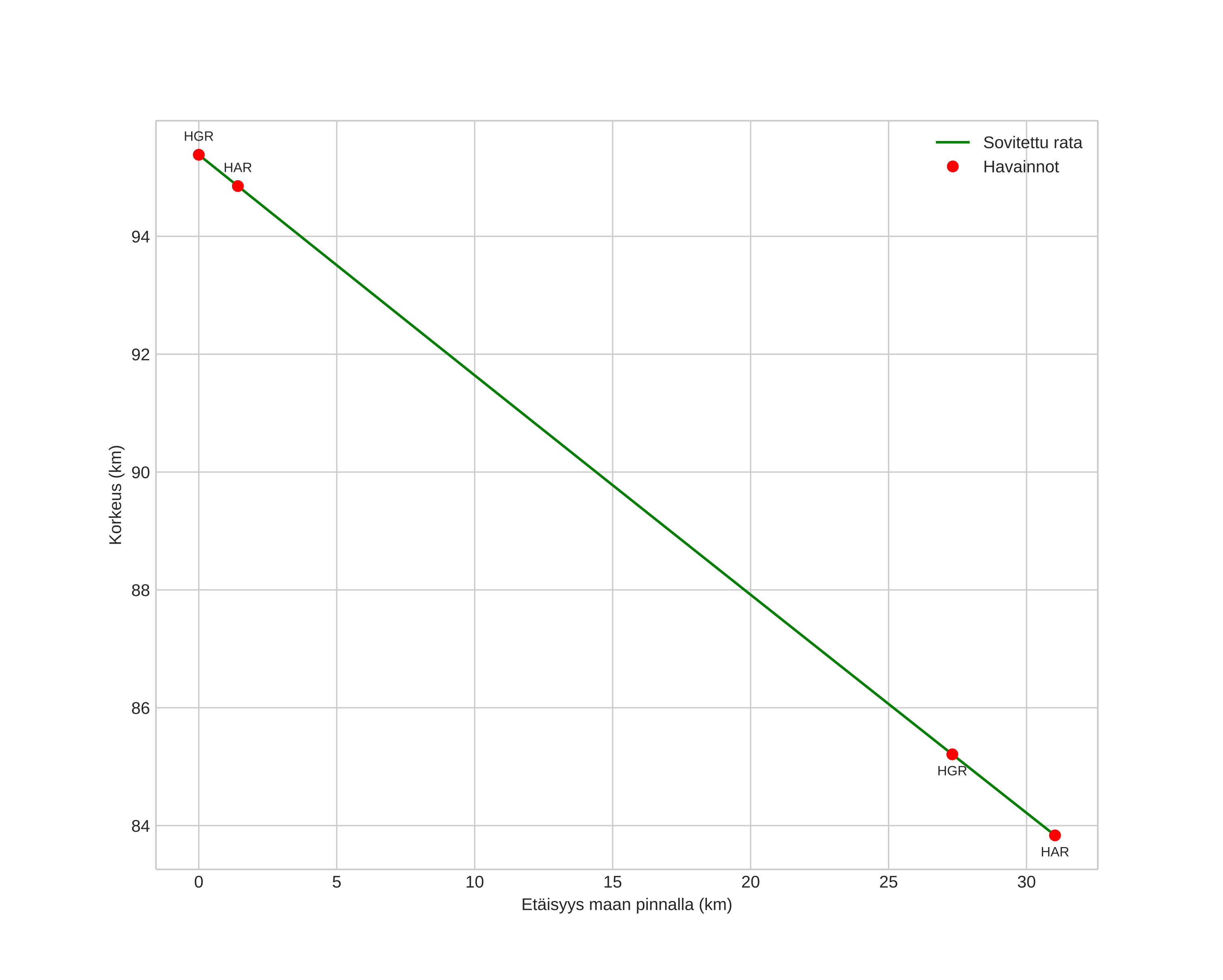
Meteorin ilmakehärata:
Alkukorkeus: 94,1 km
Loppukorkeus: 83,1 km
Alkupiste: 60,251N 11,840E
Loppupiste: 60,505N 12,050E
Suunta: 22,1°
Kallistuskulma: 19,8°
Tulonopeus: 25,3 km/s
Radiantin R,A,: 03:28 (52,1°)
Radiantin Dekl,: -12,2°
Meteoriparvi: Sporadinen
Meteoroidin rataelementit:
Perihelietäisyys: 0,727 AU
Eksentrisyys: 0,859
Inklinaatio: 19,0°
Nousevan solmun pituus: 54,8°
Perihelin argumentti: 64,7°
Keskianomalia: 356,9°
Epookki: 2024 NOV 17 00:25:18
orbit plot

Ei-interaktiivinen kuvaaja | Interaktiivinen kuvaaja

position vs time
speed and acceleration