🇳🇴 🇬🇧 🇩🇪 🇨🇿 🇫🇮

Meteor, poloha: Malung 2024-11-17 04:27:16 UTC

Soubor KML  |  InteraktivnĂ­ mapa

Mapa zobrazuje dráhy meteoru. Světlejší čáry ukazují směry od pozorovacích stanic při objevení se meteoru a tmavší čáry, kde byl naposledy viděn. Modrá šipka značí viditelnou dráhu meteoru.

static map
height profile
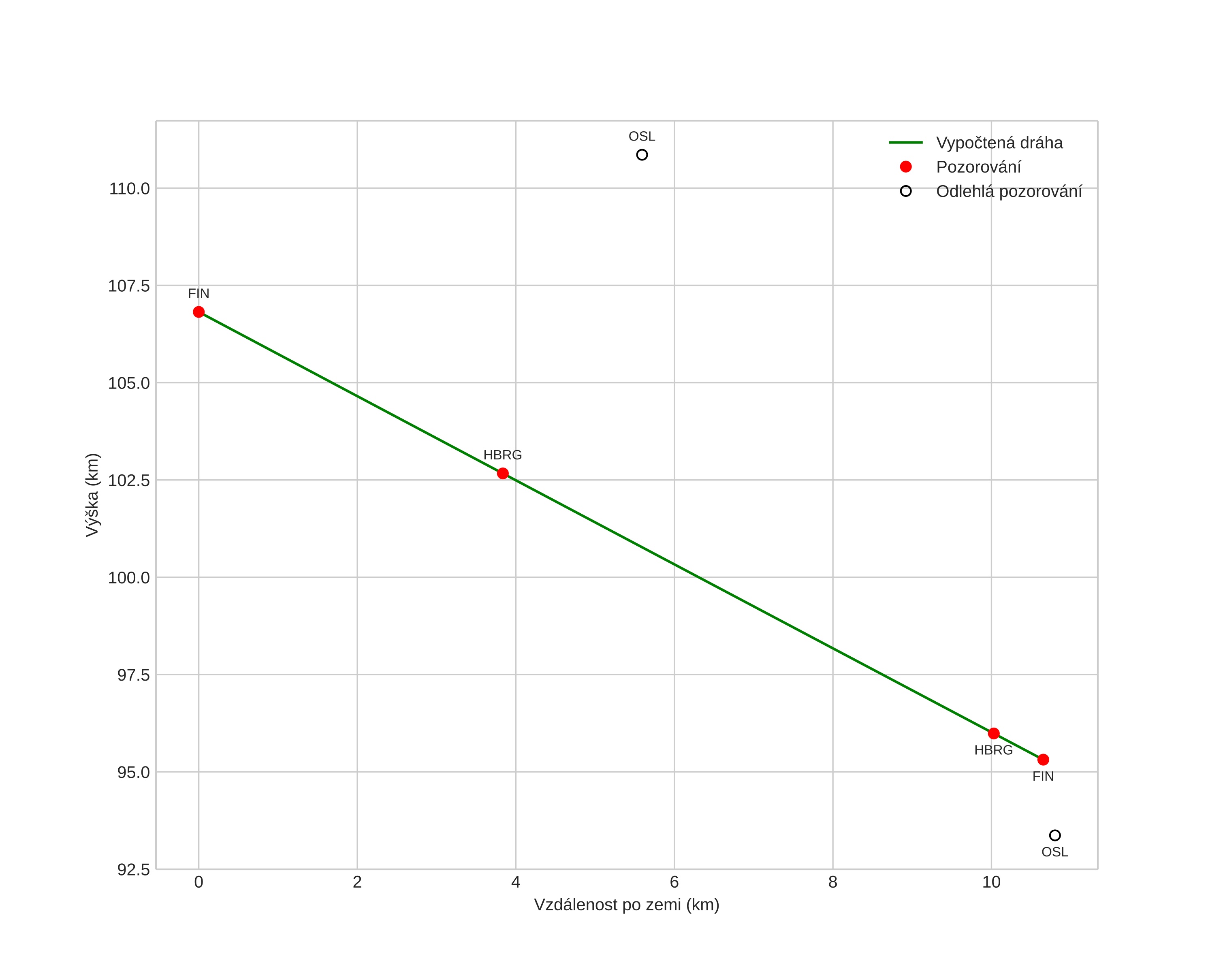
Atmosférická dráha meteoru:
Počáteční výška: 107,0 km
Konečná výška: 95,5 km
Počáteční poloha: 60,838N 13,282E
Konečná poloha: 60,927N 13,355E
Směr: 21,6°
Sklon: 47,0°
VstupnĂ­ rychlost: 69,8 km/s
Rektascenze radiantu: 08:03 (120,8°)
Deklinace radiantu: 18,9°
MeteorickĂ˝ roj: sporadickĂ˝
Elementy dráhy meteoroidu:
Vzdálenost v periheliu: 0,534 AU
Excentricita: 1,095
Sklon dráhy: 176,7°
Délka vzestupného uzlu: 54,9°
Argument perihelia: 83,0°
Střední anomálie: -2,7°
Epocha: 2024 NOV 17 04:27:16
orbit plot

NeinteraktivnĂ­ graf | InteraktivnĂ­ graf

position vs time
speed and acceleration