🇳🇴 🇬🇧 🇩🇪 🇨🇿 🇫🇮

Meteor Malungin yllä 2024-11-17 04:27:16 UTC

KML-tiedosto  |  Interaktiivinen kartta

Kartta näyttää meteorin suuntahavainnot. Vaaleammat viivat näyttävät suunnat havaintoasemilta meteorin ilmestyessä, ja tummemmat viivat näyttävät, missä se viimeksi nähtiin. Sininen nuoli näyttää meteorin näkyvän lennon.

static map
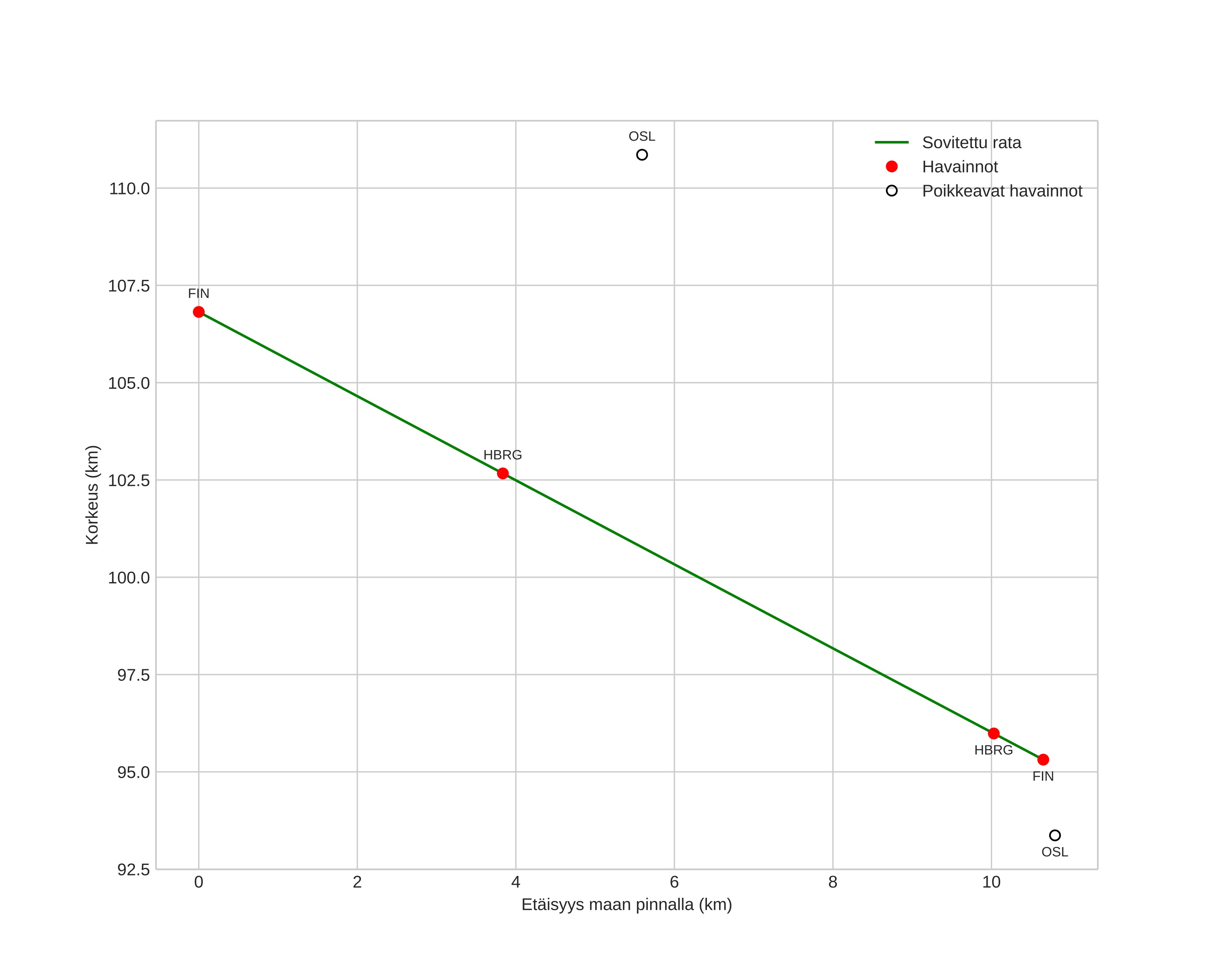
height profile
Meteorin ilmakehärata:
Alkukorkeus: 107,0 km
Loppukorkeus: 95,5 km
Alkupiste: 60,838N 13,282E
Loppupiste: 60,927N 13,355E
Suunta: 21,6°
Kallistuskulma: 47,0°
Tulonopeus: 69,8 km/s
Radiantin R,A,: 08:03 (120,8°)
Radiantin Dekl,: 18,9°
Meteoriparvi: Sporadinen
Meteoroidin rataelementit:
Perihelietäisyys: 0,534 AU
Eksentrisyys: 1,095
Inklinaatio: 176,7°
Nousevan solmun pituus: 54,9°
Perihelin argumentti: 83,0°
Keskianomalia: -2,7°
Epookki: 2024 NOV 17 04:27:16
orbit plot

Ei-interaktiivinen kuvaaja | Interaktiivinen kuvaaja

position vs time
speed and acceleration