🇳🇴 🇬🇧 🇩🇪 🇨🇿 🇫🇮

Meteor, poloha: Engerdal 2024-11-17 04:44:00 UTC

Soubor KML  |  InteraktivnĂ­ mapa

Mapa zobrazuje dráhy meteoru. Světlejší čáry ukazují směry od pozorovacích stanic při objevení se meteoru a tmavší čáry, kde byl naposledy viděn. Modrá šipka značí viditelnou dráhu meteoru.

static map
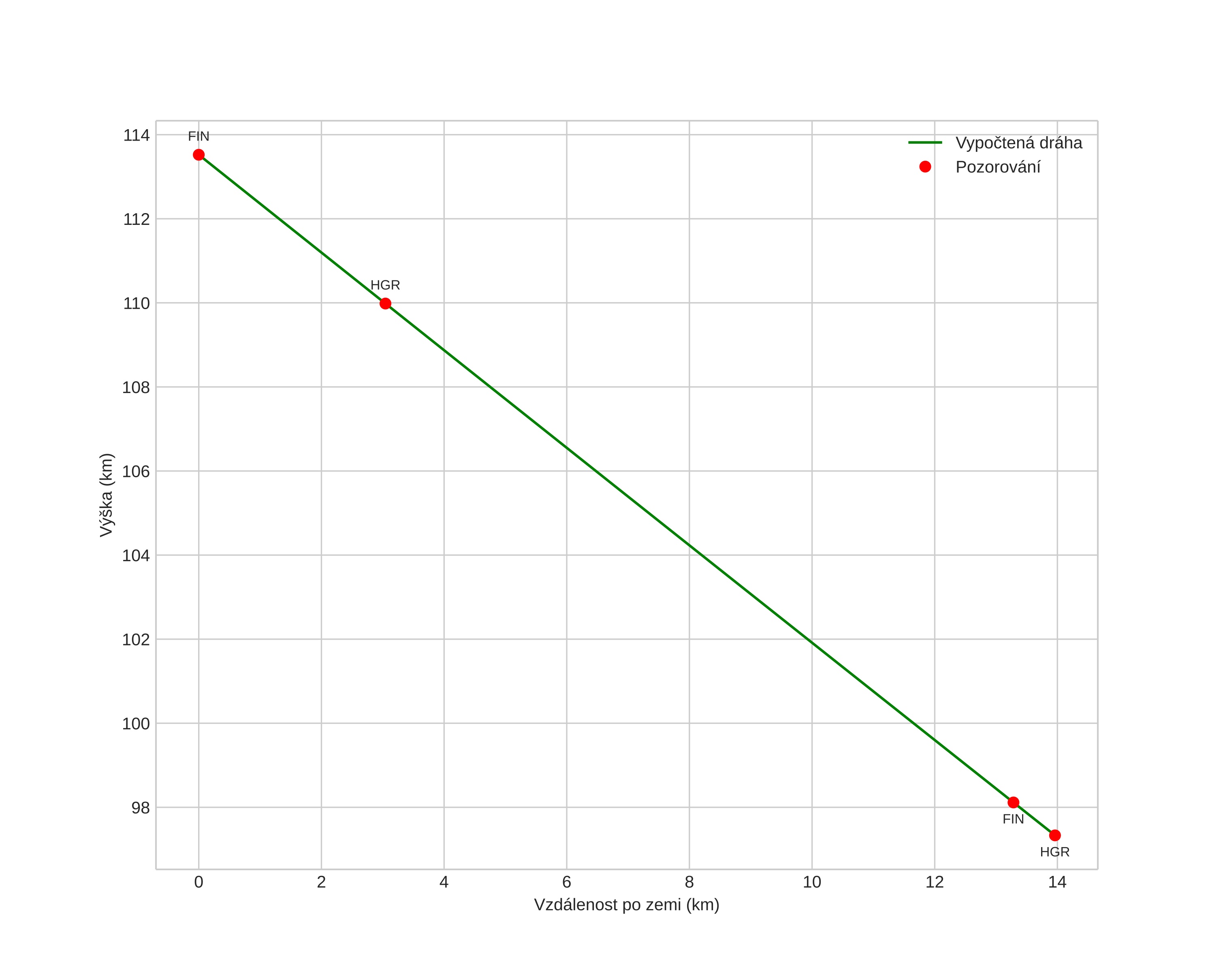
height profile
Atmosférická dráha meteoru:
Počáteční výška: 110,1 km
Konečná výška: 96,6 km
Počáteční poloha: 61,583N 12,084E
Konečná poloha: 61,678N 12,005E
Směr: 338,4°
Sklon: 49,9°
VstupnĂ­ rychlost: 73,0 km/s
Rektascenze radiantu: 10:16 (154,2°)
Deklinace radiantu: 22,6°
MeteorickĂ˝ roj: Leonidy
Elementy dráhy meteoroidu:
Vzdálenost v periheliu: 0,983 AU
Excentricita: 1,059
Sklon dráhy: 161,1°
Délka vzestupného uzlu: 235,0°
Argument perihelia: 171,7°
Střední anomálie: 0,1°
Epocha: 2024 NOV 17 04:44:00
orbit plot

NeinteraktivnĂ­ graf | InteraktivnĂ­ graf

position vs time
speed and acceleration