🇳🇴 🇬🇧 🇩🇪 🇨🇿 🇫🇮

Meteor Engerdalin yllä 2024-11-17 04:44:00 UTC

KML-tiedosto  |  Interaktiivinen kartta

Kartta näyttää meteorin suuntahavainnot. Vaaleammat viivat näyttävät suunnat havaintoasemilta meteorin ilmestyessä, ja tummemmat viivat näyttävät, missä se viimeksi nähtiin. Sininen nuoli näyttää meteorin näkyvän lennon.

static map
height profile
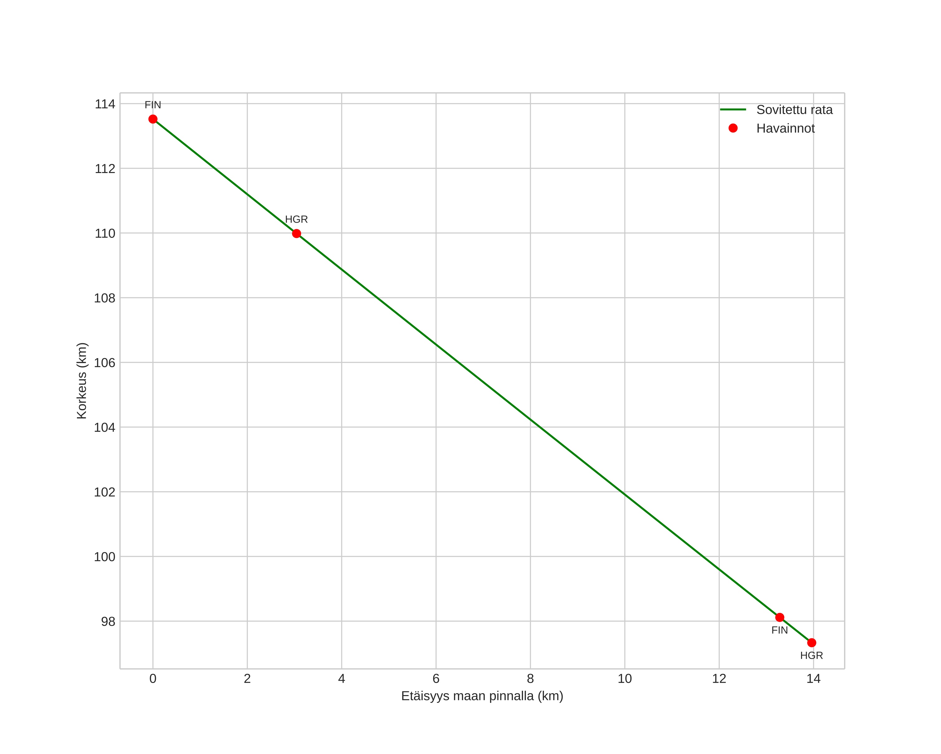
Meteorin ilmakehärata:
Alkukorkeus: 110,1 km
Loppukorkeus: 96,6 km
Alkupiste: 61,583N 12,084E
Loppupiste: 61,678N 12,005E
Suunta: 338,4°
Kallistuskulma: 49,9°
Tulonopeus: 73,0 km/s
Radiantin R,A,: 10:16 (154,2°)
Radiantin Dekl,: 22,6°
Meteoriparvi: Leonidit
Meteoroidin rataelementit:
Perihelietäisyys: 0,983 AU
Eksentrisyys: 1,059
Inklinaatio: 161,1°
Nousevan solmun pituus: 235,0°
Perihelin argumentti: 171,7°
Keskianomalia: 0,1°
Epookki: 2024 NOV 17 04:44:00
orbit plot

Ei-interaktiivinen kuvaaja | Interaktiivinen kuvaaja

position vs time
speed and acceleration