🇳🇴 🇬🇧 🇩🇪 🇨🇿 🇫🇮

Meteor, poloha: Torsby 2024-11-17 04:51:32 UTC

Soubor KML  |  InteraktivnĂ­ mapa

Mapa zobrazuje dráhy meteoru. Světlejší čáry ukazují směry od pozorovacích stanic při objevení se meteoru a tmavší čáry, kde byl naposledy viděn. Modrá šipka značí viditelnou dráhu meteoru.

static map
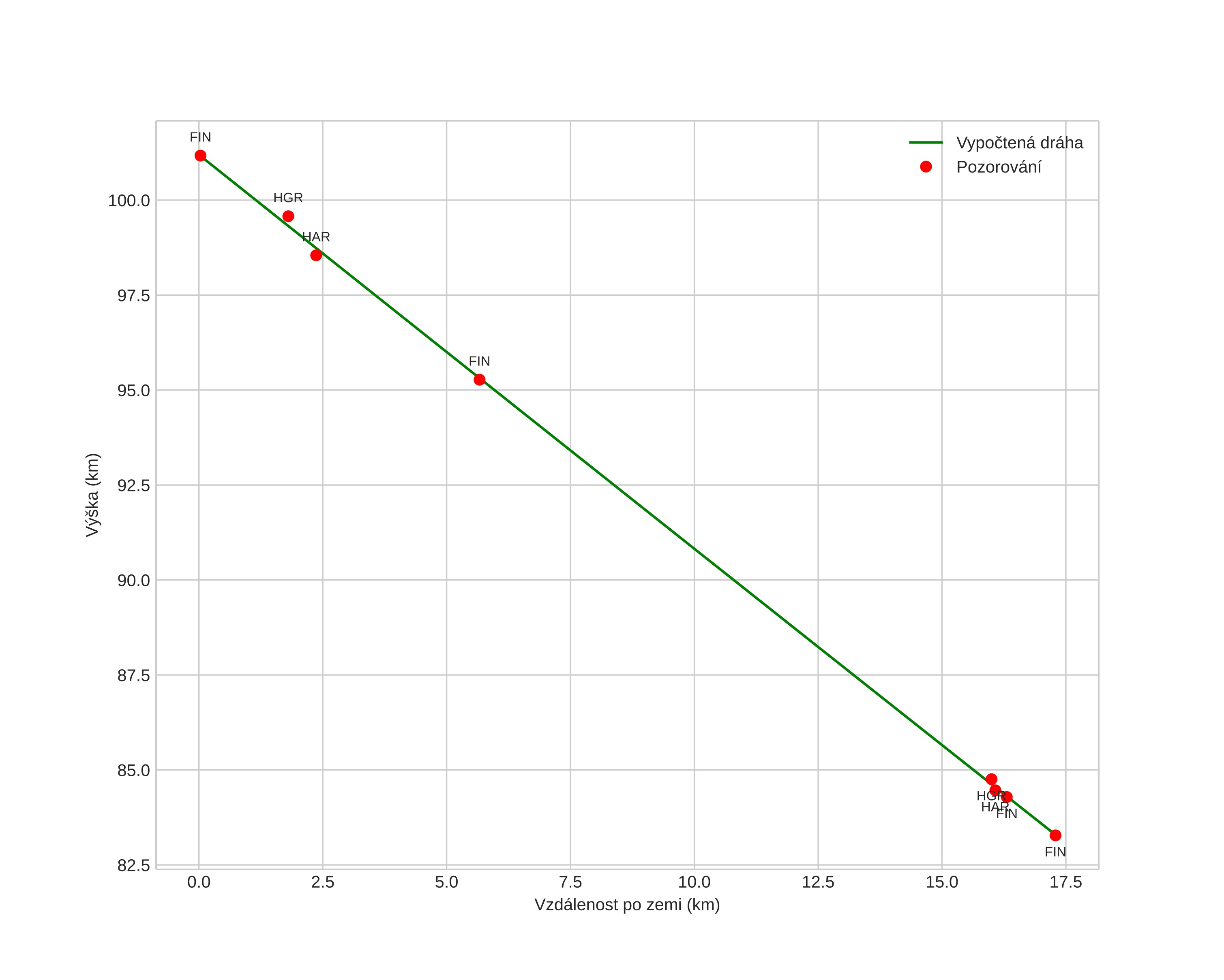
height profile
Atmosférická dráha meteoru:
Počáteční výška: 110,8 km
Konečná výška: 76,0 km
Počáteční poloha: 60,475N 13,694E
Konečná poloha: 60,346N 13,154E
Směr: 244,4°
Sklon: 46,6°
VstupnĂ­ rychlost: 41,3 km/s
Rektascenze radiantu: 14:58 (224,6°)
Deklinace radiantu: 50,8°
MeteorickĂ˝ roj: sporadickĂ˝
Elementy dráhy meteoroidu:
Vzdálenost v periheliu: 0,887 AU
Excentricita: 0,931
Sklon dráhy: 63,3°
Délka vzestupného uzlu: 235,0°
Argument perihelia: 141,8°
Střední anomálie: 0,5°
Epocha: 2024 NOV 17 04:51:32
orbit plot

NeinteraktivnĂ­ graf | InteraktivnĂ­ graf

position vs time
speed and acceleration