🇳🇴 🇬🇧 🇩🇪 🇨🇿 🇫🇮

Meteor Torsbyn yllä 2024-11-17 04:51:32 UTC

KML-tiedosto  |  Interaktiivinen kartta

Kartta näyttää meteorin suuntahavainnot. Vaaleammat viivat näyttävät suunnat havaintoasemilta meteorin ilmestyessä, ja tummemmat viivat näyttävät, missä se viimeksi nähtiin. Sininen nuoli näyttää meteorin näkyvän lennon.

static map
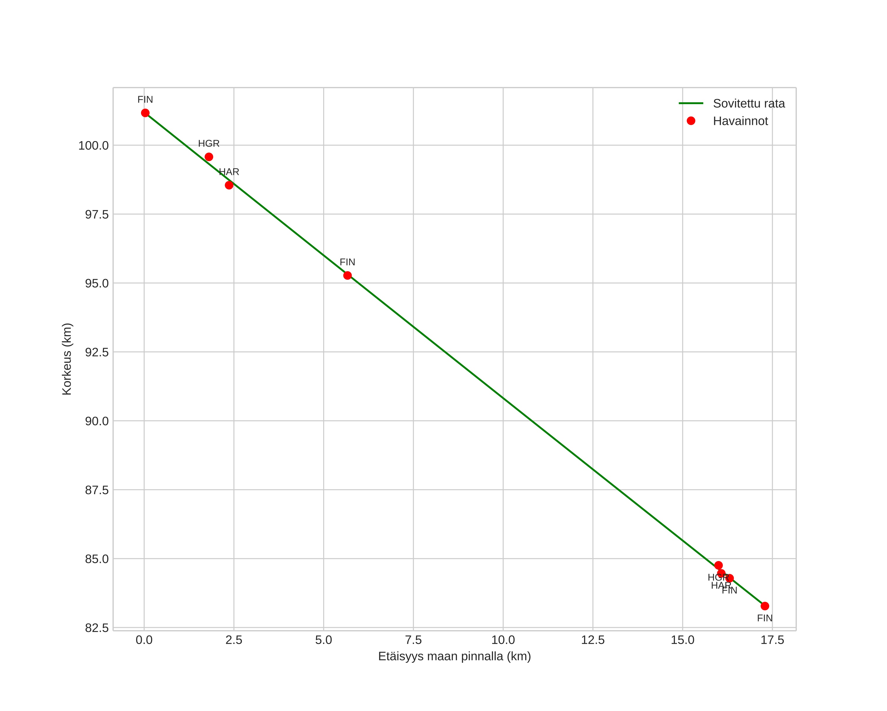
height profile
Meteorin ilmakehärata:
Alkukorkeus: 110,8 km
Loppukorkeus: 76,0 km
Alkupiste: 60,475N 13,694E
Loppupiste: 60,346N 13,154E
Suunta: 244,4°
Kallistuskulma: 46,6°
Tulonopeus: 41,3 km/s
Radiantin R,A,: 14:58 (224,6°)
Radiantin Dekl,: 50,8°
Meteoriparvi: Sporadinen
Meteoroidin rataelementit:
Perihelietäisyys: 0,887 AU
Eksentrisyys: 0,931
Inklinaatio: 63,3°
Nousevan solmun pituus: 235,0°
Perihelin argumentti: 141,8°
Keskianomalia: 0,5°
Epookki: 2024 NOV 17 04:51:32
orbit plot

Ei-interaktiivinen kuvaaja | Interaktiivinen kuvaaja

position vs time
speed and acceleration