🇳🇴 🇬🇧 🇩🇪 🇨🇿 🇫🇮

Meteor, poloha: Noresund 2024-11-17 22:41:47 UTC

Soubor KML  |  InteraktivnĂ­ mapa

Mapa zobrazuje dráhy meteoru. Světlejší čáry ukazují směry od pozorovacích stanic při objevení se meteoru a tmavší čáry, kde byl naposledy viděn. Modrá šipka značí viditelnou dráhu meteoru.

static map
height profile
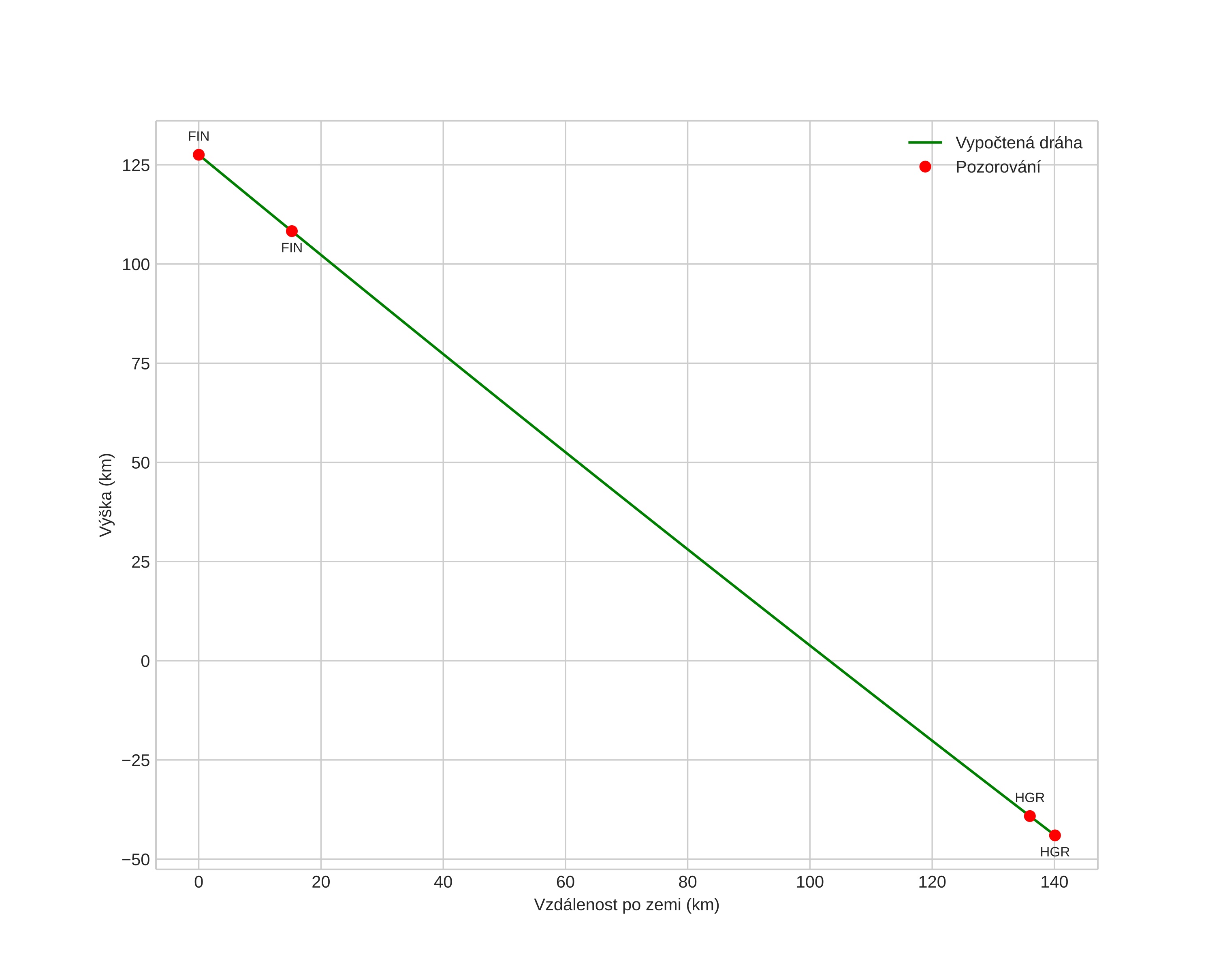
Atmosférická dráha meteoru:
Počáteční výška: 123,5 km
Konečná výška: -43,4 km
Počáteční poloha: 61,527N 11,155E
Konečná poloha: 60,457N 9,905E
Směr: 210,1°
Sklon: 50,7°
VstupnĂ­ rychlost: 38,0 km/s
Rektascenze radiantu: 10:40 (160,1°)
Deklinace radiantu: 70,1°
MeteorickĂ˝ roj: sporadickĂ˝
Elementy dráhy meteoroidu:
Vzdálenost v periheliu: 0,836 AU
Excentricita: 0,308
Sklon dráhy: 70,2°
Délka vzestupného uzlu: 235,7°
Argument perihelia: 249,7°
Střední anomálie: 320,6°
Epocha: 2024 NOV 17 22:41:47
orbit plot

NeinteraktivnĂ­ graf | InteraktivnĂ­ graf

position vs time
speed and acceleration