🇳🇴 🇬🇧 🇩🇪 🇨🇿 🇫🇮

Meteor Noresundin yllä 2024-11-17 22:41:47 UTC

KML-tiedosto  |  Interaktiivinen kartta

Kartta näyttää meteorin suuntahavainnot. Vaaleammat viivat näyttävät suunnat havaintoasemilta meteorin ilmestyessä, ja tummemmat viivat näyttävät, missä se viimeksi nähtiin. Sininen nuoli näyttää meteorin näkyvän lennon.

static map
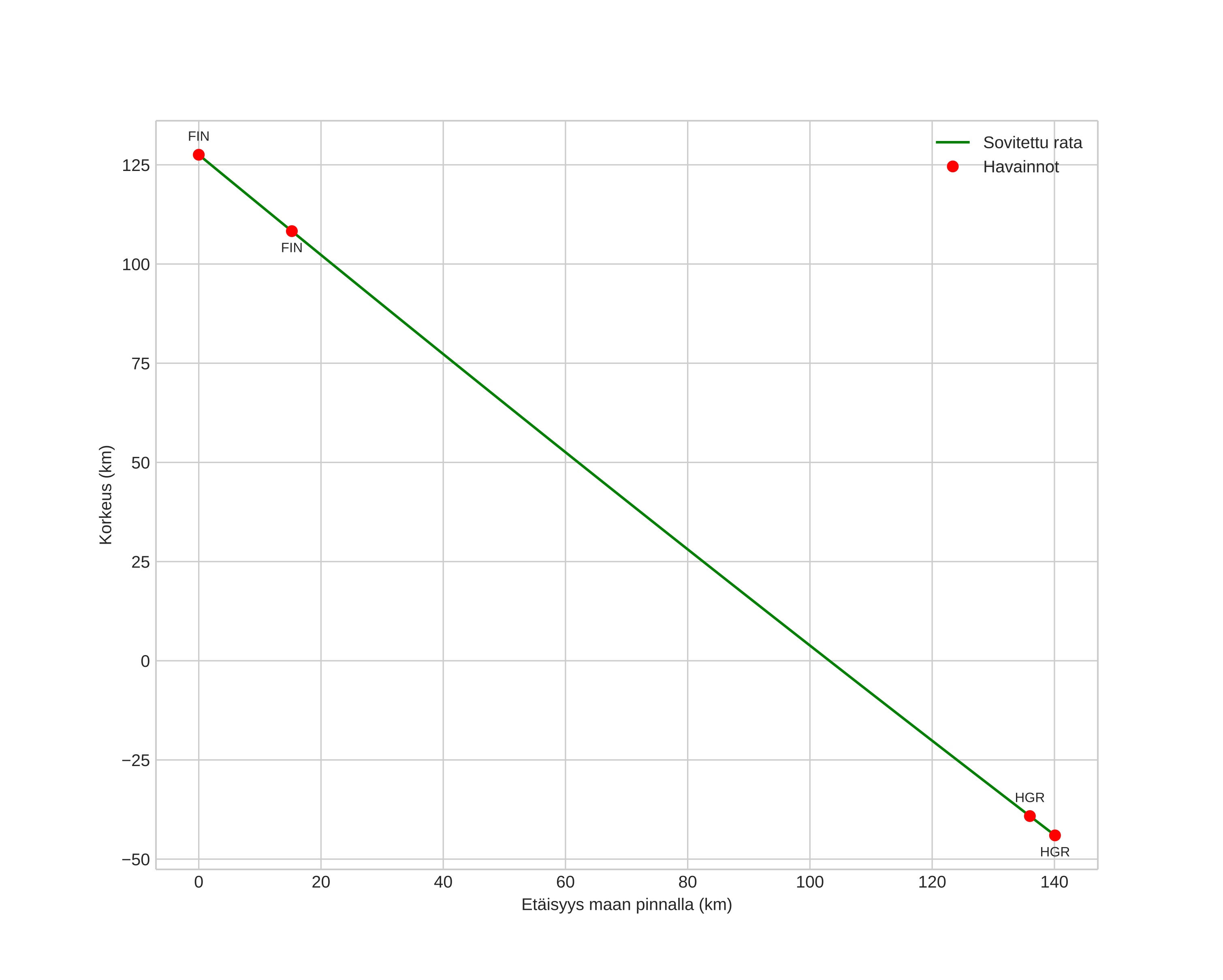
height profile
Meteorin ilmakehärata:
Alkukorkeus: 123,5 km
Loppukorkeus: -43,4 km
Alkupiste: 61,527N 11,155E
Loppupiste: 60,457N 9,905E
Suunta: 210,1°
Kallistuskulma: 50,7°
Tulonopeus: 38,0 km/s
Radiantin R,A,: 10:40 (160,1°)
Radiantin Dekl,: 70,1°
Meteoriparvi: Sporadinen
Meteoroidin rataelementit:
Perihelietäisyys: 0,836 AU
Eksentrisyys: 0,308
Inklinaatio: 70,2°
Nousevan solmun pituus: 235,7°
Perihelin argumentti: 249,7°
Keskianomalia: 320,6°
Epookki: 2024 NOV 17 22:41:47
orbit plot

Ei-interaktiivinen kuvaaja | Interaktiivinen kuvaaja

position vs time
speed and acceleration