🇳🇴 🇬🇧 🇩🇪 🇨🇿 🇫🇮

Meteor, poloha: Florø 2024-11-17 22:54:43 UTC

Soubor KML  |  InteraktivnĂ­ mapa

Mapa zobrazuje dráhy meteoru. Světlejší čáry ukazují směry od pozorovacích stanic při objevení se meteoru a tmavší čáry, kde byl naposledy viděn. Modrá šipka značí viditelnou dráhu meteoru.

static map
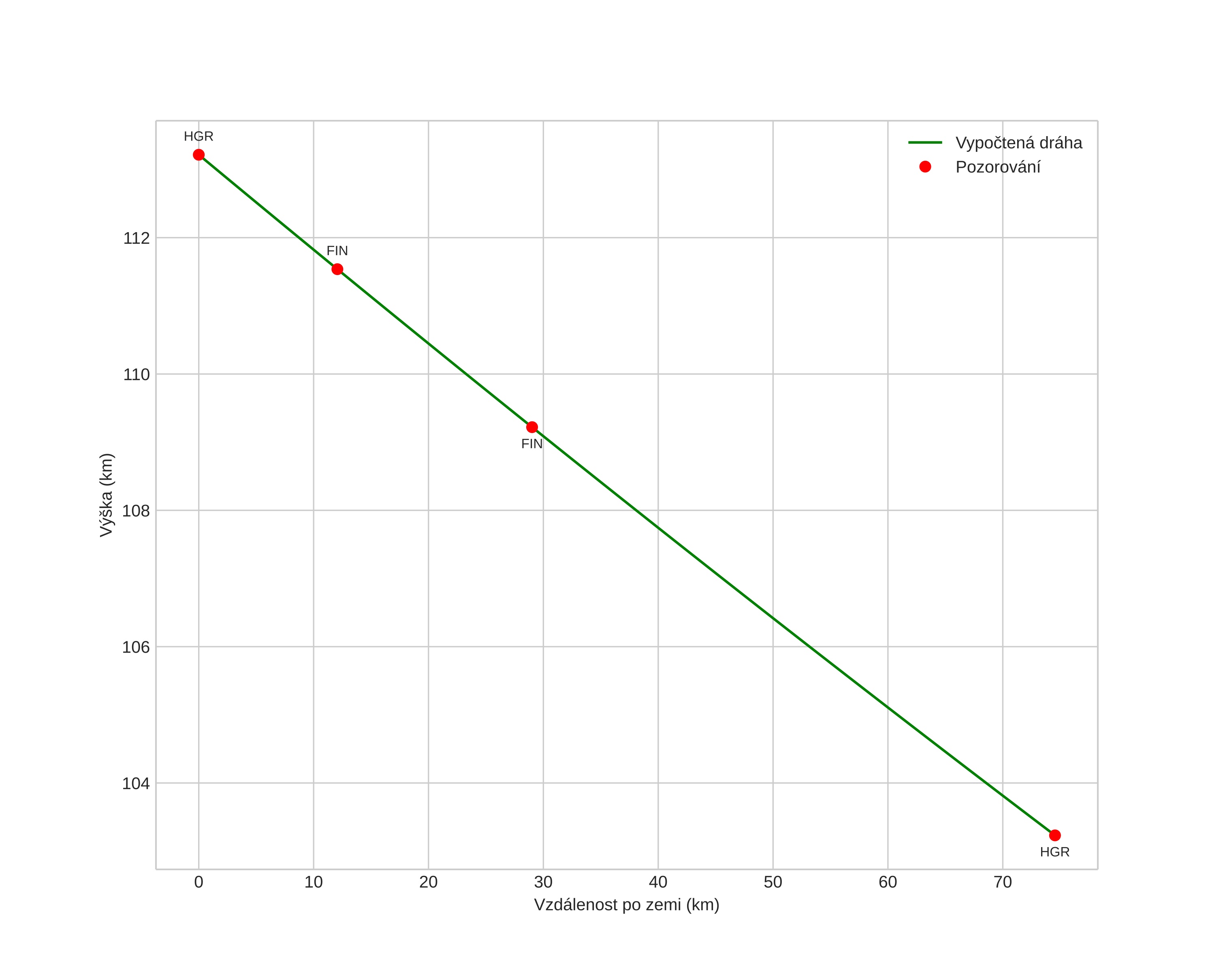
height profile
Atmosférická dráha meteoru:
Počáteční výška: 112,9 km
Konečná výška: 103,2 km
Počáteční poloha: 61,736N 6,502E
Konečná poloha: 61,518N 5,180E
Směr: 251,5°
Sklon: 7,5°
VstupnĂ­ rychlost: 79,9 km/s
Rektascenze radiantu: 10:01 (150,4°)
Deklinace radiantu: 15,0°
MeteorickĂ˝ roj: Leonidy
Elementy dráhy meteoroidu:
Vzdálenost v periheliu: 0,988 AU
Excentricita: 1,656
Sklon dráhy: 175,6°
Délka vzestupného uzlu: 235,8°
Argument perihelia: 176,8°
Střední anomálie: 1,0°
Epocha: 2024 NOV 17 22:54:43
orbit plot

NeinteraktivnĂ­ graf | InteraktivnĂ­ graf

position vs time
speed and acceleration