🇳🇴 🇬🇧 🇩🇪 🇨🇿 🇫🇮

Meteor Florøin yllä 2024-11-17 22:54:43 UTC

KML-tiedosto  |  Interaktiivinen kartta

Kartta näyttää meteorin suuntahavainnot. Vaaleammat viivat näyttävät suunnat havaintoasemilta meteorin ilmestyessä, ja tummemmat viivat näyttävät, missä se viimeksi nähtiin. Sininen nuoli näyttää meteorin näkyvän lennon.

static map
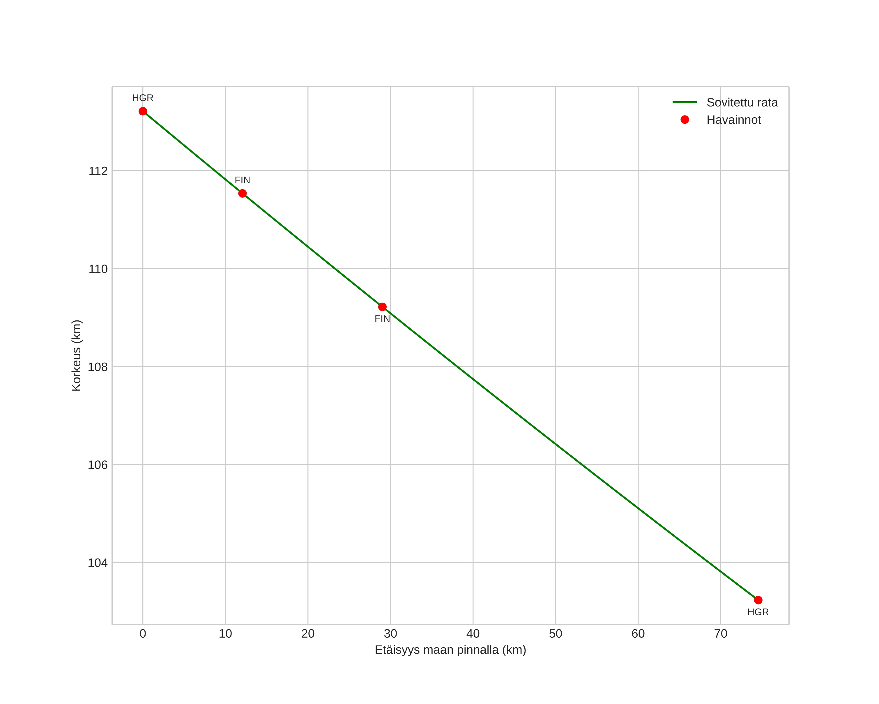
height profile
Meteorin ilmakehärata:
Alkukorkeus: 112,9 km
Loppukorkeus: 103,2 km
Alkupiste: 61,736N 6,502E
Loppupiste: 61,518N 5,180E
Suunta: 251,5°
Kallistuskulma: 7,5°
Tulonopeus: 79,9 km/s
Radiantin R,A,: 10:01 (150,4°)
Radiantin Dekl,: 15,0°
Meteoriparvi: Leonidit
Meteoroidin rataelementit:
Perihelietäisyys: 0,988 AU
Eksentrisyys: 1,656
Inklinaatio: 175,6°
Nousevan solmun pituus: 235,8°
Perihelin argumentti: 176,8°
Keskianomalia: 1,0°
Epookki: 2024 NOV 17 22:54:43
orbit plot

Ei-interaktiivinen kuvaaja | Interaktiivinen kuvaaja

position vs time
speed and acceleration