🇳🇴 🇬🇧 🇩🇪 🇨🇿 🇫🇮

Meteor, poloha: Innbygda 2024-11-17 23:39:40 UTC

Soubor KML  |  InteraktivnĂ­ mapa

Mapa zobrazuje dráhy meteoru. Světlejší čáry ukazují směry od pozorovacích stanic při objevení se meteoru a tmavší čáry, kde byl naposledy viděn. Modrá šipka značí viditelnou dráhu meteoru.

static map
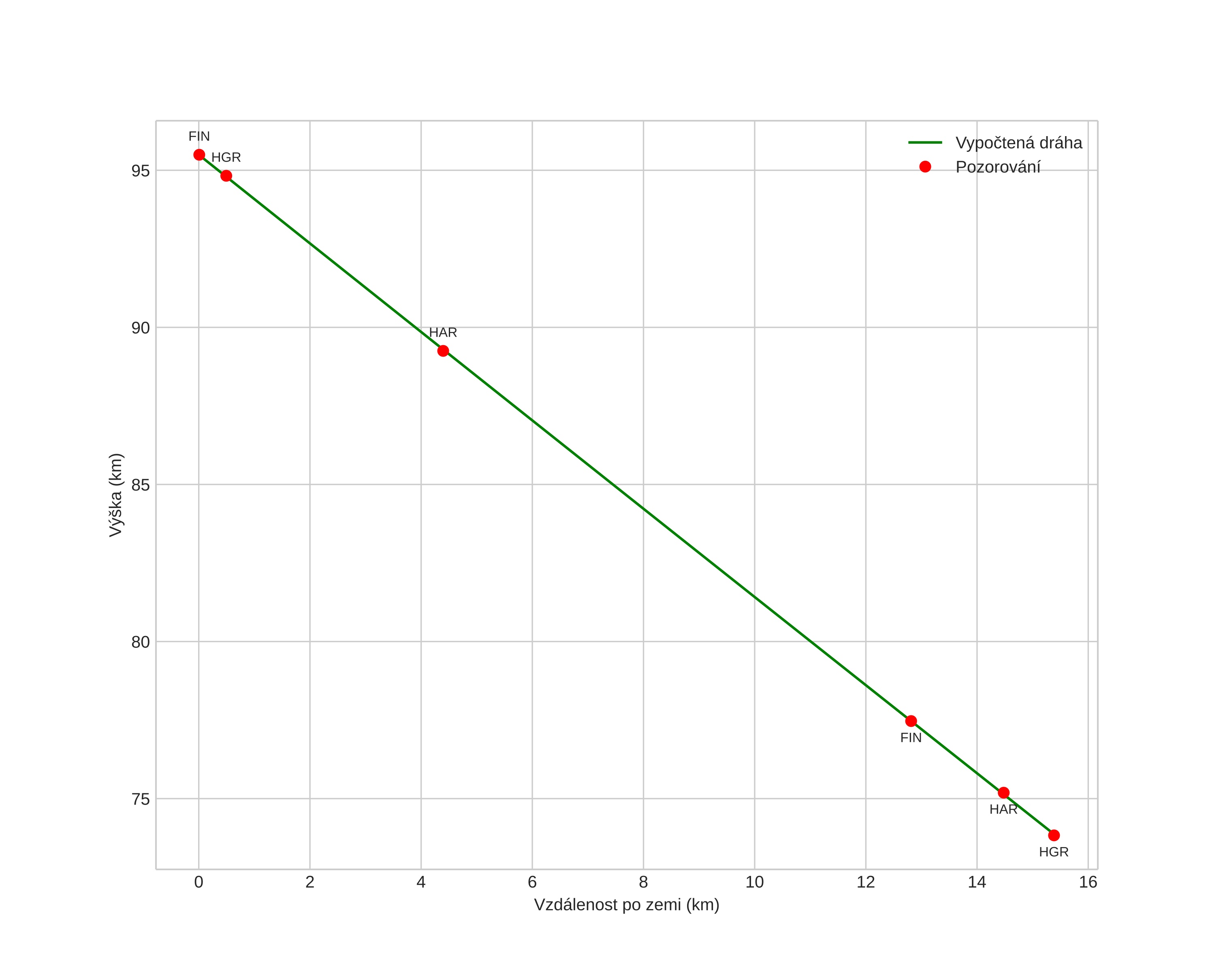
height profile
Atmosférická dráha meteoru:
Počáteční výška: 92,8 km
Konečná výška: 73,7 km
Počáteční poloha: 60,766N 12,568E
Konečná poloha: 60,886N 12,579E
Směr: 2,6°
Sklon: 55,1°
VstupnĂ­ rychlost: 27,6 km/s
Rektascenze radiantu: 04:09 (62,3°)
Deklinace radiantu: 24,1°
MeteorickĂ˝ roj: SevernĂ­ Tauridy
Elementy dráhy meteoroidu:
Vzdálenost v periheliu: 0,425 AU
Excentricita: 0,775
Sklon dráhy: 2,9°
Délka vzestupného uzlu: 235,7°
Argument perihelia: 287,9°
Střední anomálie: 342,9°
Epocha: 2024 NOV 17 23:39:40
orbit plot

NeinteraktivnĂ­ graf | InteraktivnĂ­ graf

position vs time
speed and acceleration