🇳🇴 🇬🇧 🇩🇪 🇨🇿 🇫🇮

Meteor Innbygdan yllä 2024-11-17 23:39:40 UTC

KML-tiedosto  |  Interaktiivinen kartta

Kartta näyttää meteorin suuntahavainnot. Vaaleammat viivat näyttävät suunnat havaintoasemilta meteorin ilmestyessä, ja tummemmat viivat näyttävät, missä se viimeksi nähtiin. Sininen nuoli näyttää meteorin näkyvän lennon.

static map
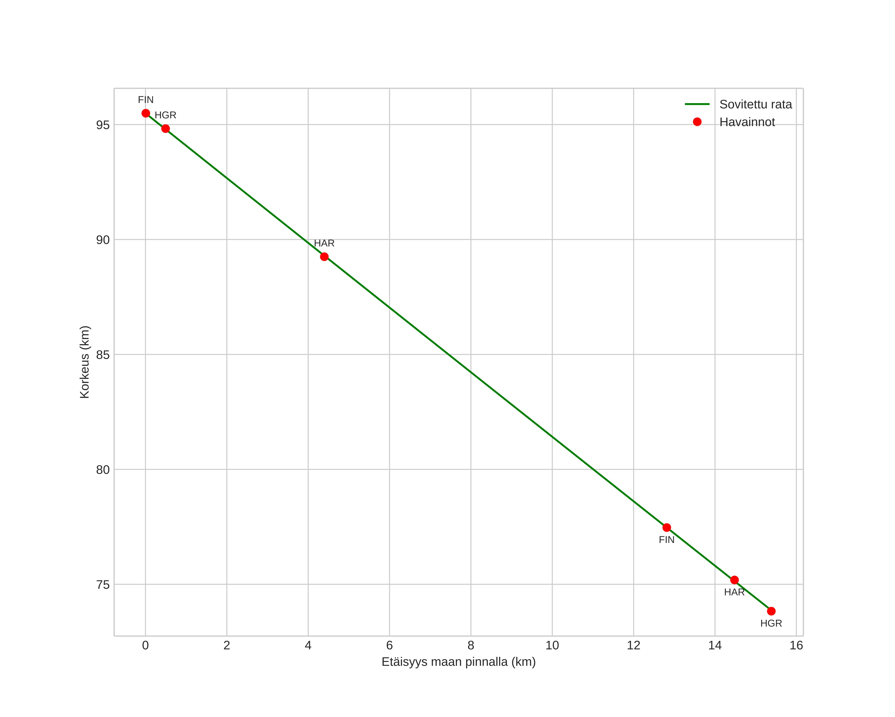
height profile
Meteorin ilmakehärata:
Alkukorkeus: 92,8 km
Loppukorkeus: 73,7 km
Alkupiste: 60,766N 12,568E
Loppupiste: 60,886N 12,579E
Suunta: 2,6°
Kallistuskulma: 55,1°
Tulonopeus: 27,6 km/s
Radiantin R,A,: 04:09 (62,3°)
Radiantin Dekl,: 24,1°
Meteoriparvi: Pohjoiset tauridit
Meteoroidin rataelementit:
Perihelietäisyys: 0,425 AU
Eksentrisyys: 0,775
Inklinaatio: 2,9°
Nousevan solmun pituus: 235,7°
Perihelin argumentti: 287,9°
Keskianomalia: 342,9°
Epookki: 2024 NOV 17 23:39:40
orbit plot

Ei-interaktiivinen kuvaaja | Interaktiivinen kuvaaja

position vs time
speed and acceleration