🇳🇴 🇬🇧 🇩🇪 🇨🇿 🇫🇮

Meteor, poloha: Kviteseid 2024-11-18 00:02:45 UTC

Soubor KML  |  InteraktivnĂ­ mapa

Mapa zobrazuje dráhy meteoru. Světlejší čáry ukazují směry od pozorovacích stanic při objevení se meteoru a tmavší čáry, kde byl naposledy viděn. Modrá šipka značí viditelnou dráhu meteoru.

static map
height profile
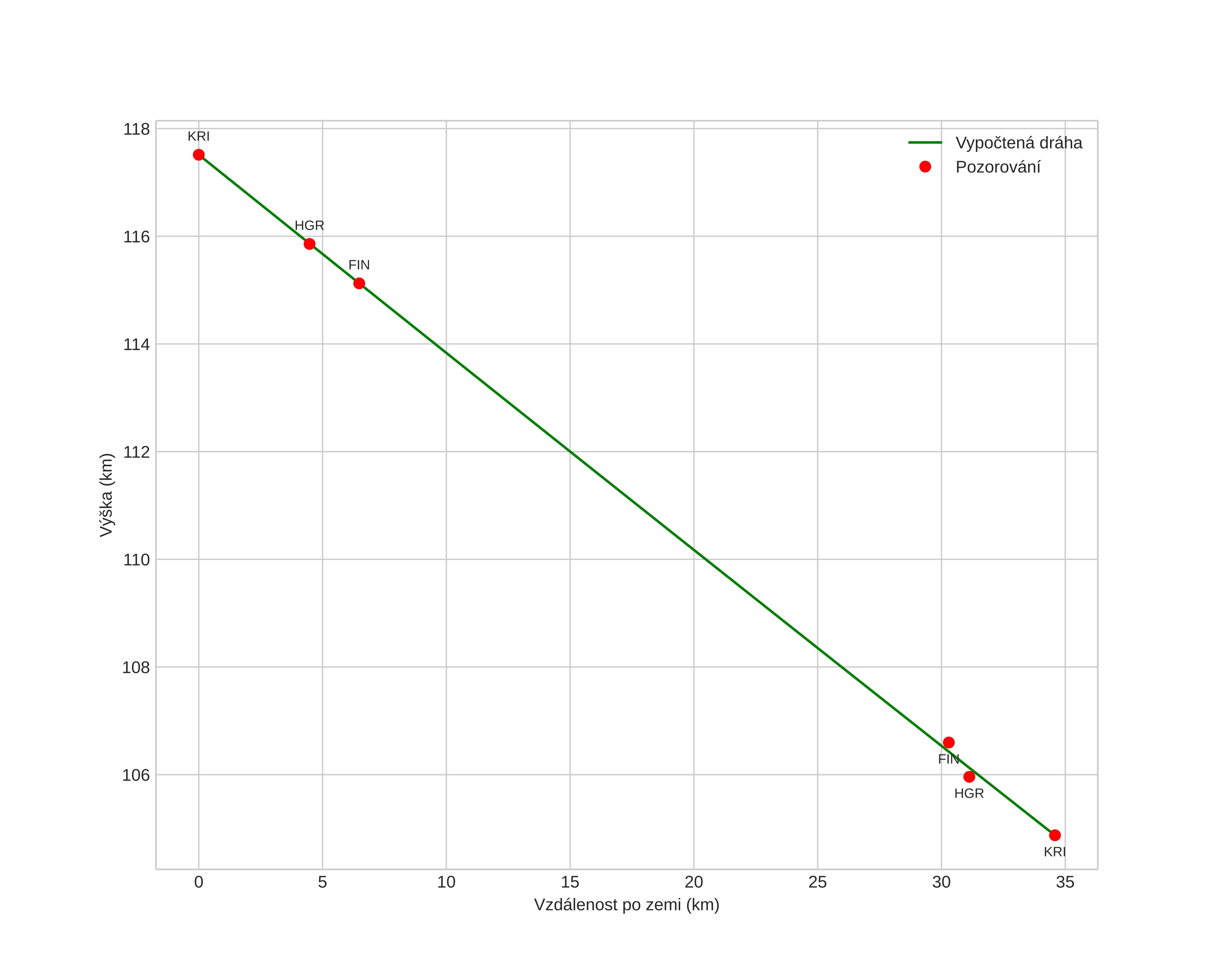
Atmosférická dráha meteoru:
Počáteční výška: 117,4 km
Konečná výška: 104,8 km
Počáteční poloha: 59,275N 9,220E
Konečná poloha: 59,227N 8,628E
Směr: 261,2°
Sklon: 20,3°
VstupnĂ­ rychlost: 73,0 km/s
Rektascenze radiantu: 10:15 (153,9°)
Deklinace radiantu: 21,6°
MeteorickĂ˝ roj: Leonidy
Elementy dráhy meteoroidu:
Vzdálenost v periheliu: 0,985 AU
Excentricita: 1,024
Sklon dráhy: 162,8°
Délka vzestupného uzlu: 235,8°
Argument perihelia: 173,6°
Střední anomálie: 0,0°
Epocha: 2024 NOV 18 00:02:45
orbit plot

NeinteraktivnĂ­ graf | InteraktivnĂ­ graf

position vs time
speed and acceleration