🇳🇴 🇬🇧 🇩🇪 🇨🇿 🇫🇮

Meteor Kviteseidin yllä 2024-11-18 00:02:45 UTC

KML-tiedosto  |  Interaktiivinen kartta

Kartta näyttää meteorin suuntahavainnot. Vaaleammat viivat näyttävät suunnat havaintoasemilta meteorin ilmestyessä, ja tummemmat viivat näyttävät, missä se viimeksi nähtiin. Sininen nuoli näyttää meteorin näkyvän lennon.

static map
height profile
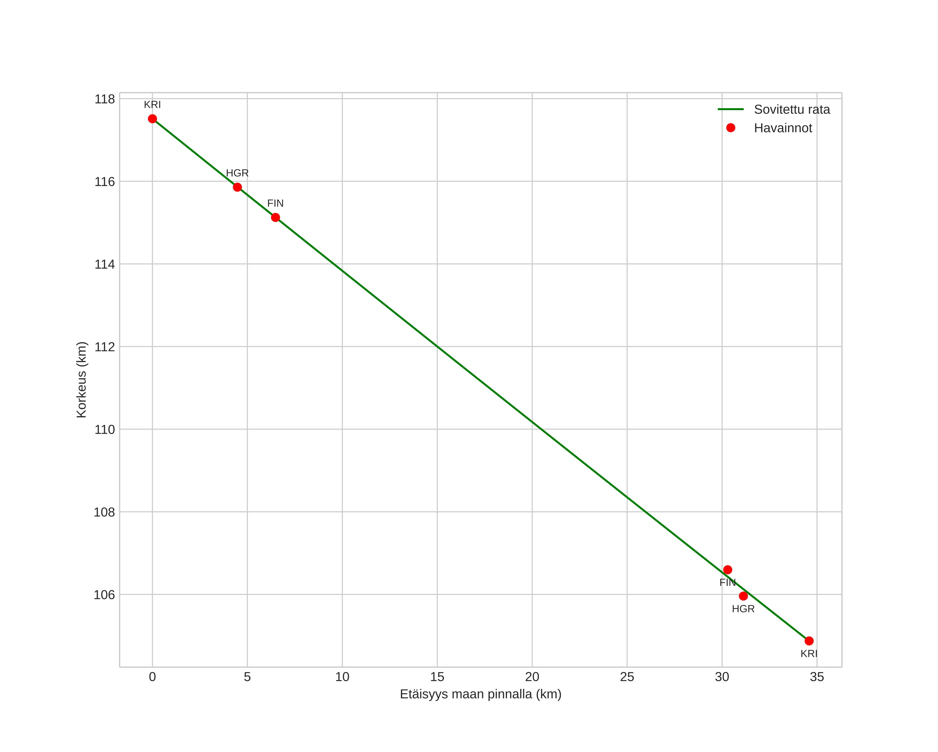
Meteorin ilmakehärata:
Alkukorkeus: 117,4 km
Loppukorkeus: 104,8 km
Alkupiste: 59,275N 9,220E
Loppupiste: 59,227N 8,628E
Suunta: 261,2°
Kallistuskulma: 20,3°
Tulonopeus: 73,0 km/s
Radiantin R,A,: 10:15 (153,9°)
Radiantin Dekl,: 21,6°
Meteoriparvi: Leonidit
Meteoroidin rataelementit:
Perihelietäisyys: 0,985 AU
Eksentrisyys: 1,024
Inklinaatio: 162,8°
Nousevan solmun pituus: 235,8°
Perihelin argumentti: 173,6°
Keskianomalia: 0,0°
Epookki: 2024 NOV 18 00:02:45
orbit plot

Ei-interaktiivinen kuvaaja | Interaktiivinen kuvaaja

position vs time
speed and acceleration