🇳🇴 🇬🇧 🇩🇪 🇨🇿 🇫🇮

Meteor, poloha: Kil 2024-11-18 00:14:55 UTC

Soubor KML  |  InteraktivnĂ­ mapa

Mapa zobrazuje dráhy meteoru. Světlejší čáry ukazují směry od pozorovacích stanic při objevení se meteoru a tmavší čáry, kde byl naposledy viděn. Modrá šipka značí viditelnou dráhu meteoru.

static map
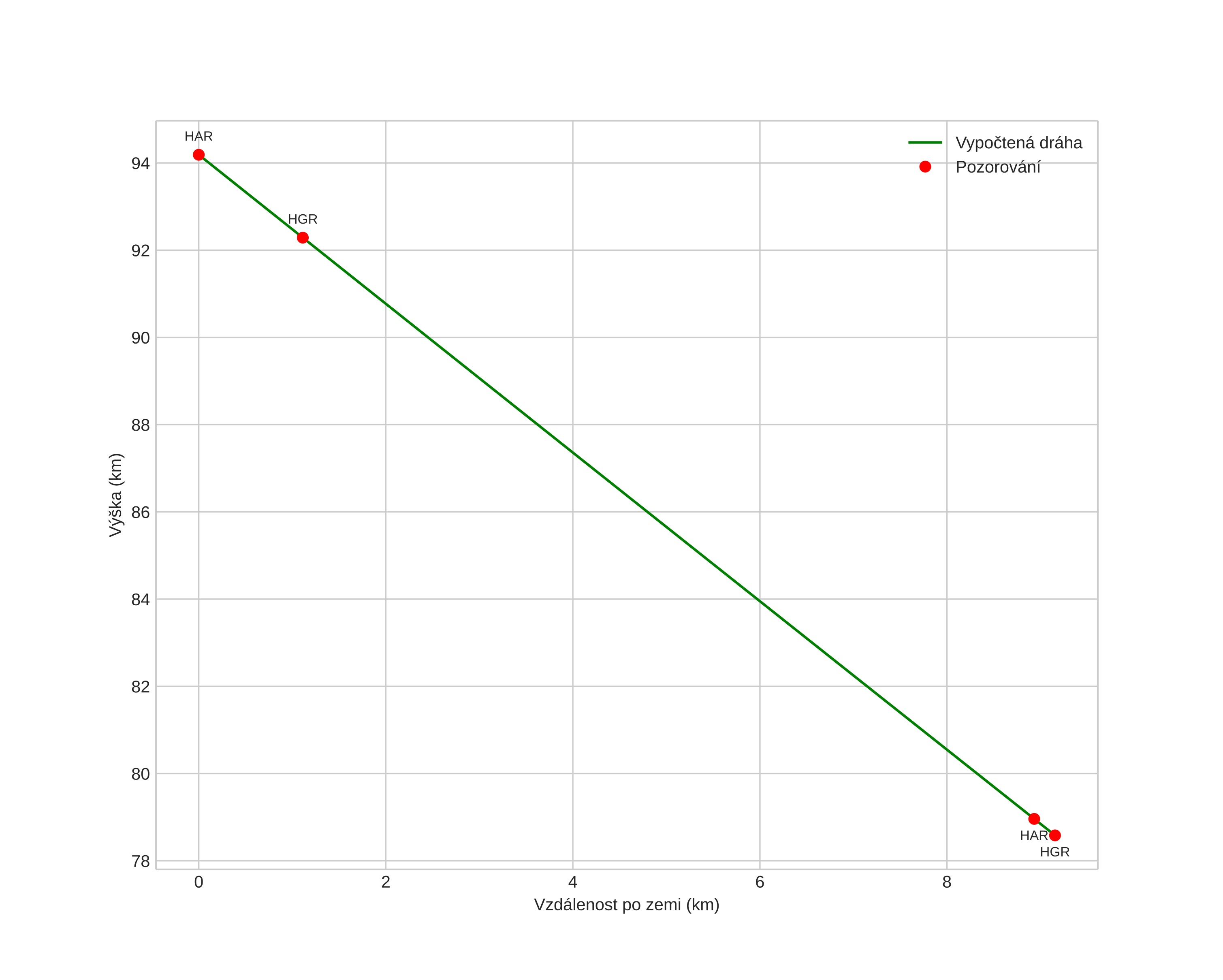
height profile
Atmosférická dráha meteoru:
Počáteční výška: 92,7 km
Konečná výška: 77,5 km
Počáteční poloha: 59,472N 13,236E
Konečná poloha: 59,536N 13,303E
Směr: 28,2°
Sklon: 62,1°
VstupnĂ­ rychlost: 19,6 km/s
Rektascenze radiantu: 03:47 (57,0°)
Deklinace radiantu: 30,6°
MeteorickĂ˝ roj: sporadickĂ˝
Elementy dráhy meteoroidu:
Vzdálenost v periheliu: 0,593 AU
Excentricita: 0,527
Sklon dráhy: 5,9°
Délka vzestupného uzlu: 235,8°
Argument perihelia: 279,2°
Střední anomálie: 321,3°
Epocha: 2024 NOV 18 00:14:55
orbit plot

NeinteraktivnĂ­ graf | InteraktivnĂ­ graf

position vs time
speed and acceleration